阿摩線上測驗
登入
首頁
>
天氣學
>
101年 - 101年高等三級暨普通考高考三級_氣象#26241
> 申論題
申論題
試卷:101年 - 101年高等三級暨普通考高考三級_氣象#26241
科目:天氣學
年份:101年
排序:0
申論題資訊
試卷:
101年 - 101年高等三級暨普通考高考三級_氣象#26241
科目:
天氣學
年份:
101年
排序:
0
題組內容
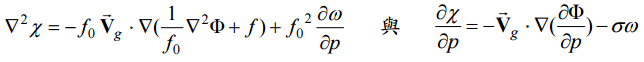
三、已知簡化之準地轉(quasi-geostrophic, QG)渦度方程式與熱能方程式分別為:
其中χ = ∂Φ/∂t,Φ 為重力位,σ=−α(dln θ/dp)為靜力穩定度參數,其他符號均為 一般常用者。試回答下列問題:
申論題內容
⑴試由簡化之 QG 渦度與熱能方程式,推導出 QG omega 方程式。(10 分)