題組內容
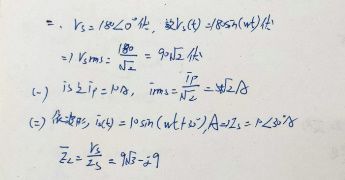
二、某負載電壓電流波形如圖二所示,電壓相量表示式為 Vs = 180∠0° 。

⑴請計算該電流波形之有效值。(5 分)
詳解 (共 4 筆)
詳解
注意看題目,電流有效波型有效值
都說是電流了.....
10A / 根號2 =5根號2 A
(最大值/根號2)=有效值
詳解
5√2A
詳解

詳解
100V