阿摩線上測驗
登入
首頁
>
(工業)安全工程
>
99年 - 099年專門職業及技術人員高等建築師、技師暨普通不動產經紀人、記帳士工業安全技師#27485
> 申論題
題組內容
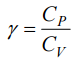
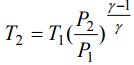
二、氣體在絕熱環境下壓縮,溫度會急速上升,可能使物質著火爆炸。絕熱壓縮過程中, 系統溫度隨系統壓力變化的方程式如下:(30 分)
其中
⑴T
1
,T
2
及P
1
,P
2
分別為壓縮前後系統的溫度及壓力,試推導之。
相關申論題
一、試述鍋爐本體爆炸的主要步驟。(20 分)
#49290
(二) 20℃的空氣由 1 atm 壓縮至 100 atm 時,溫度為多少? 提示:1壓縮過程,氣體可假設為理想氣體 2空氣的Cp=3.5R,R:氣體常數
#49292
四、依氣體進入氣室內,閥為開啟或關閉,半導體光電產業常用的氣動閥可分為那兩種? 試說明之。半導體設備中製程氣體(如矽甲烷、砷化氫、磷化氫)的控制應採用上述 那一種閥?為什麼?(25 分)
#49294
第四題:請依職業安全衛生法規定,列舉五項事業單位訂定安全衛生工作守則應參酌之內容。
#563596
第三題:請說明化學品分級管理(CCB)五步驟及其概要內容。
#563595
第二題:請問火災之四種滅火原理及方法?
#563594
第一題:雇主對於何種機械、設備或器具,應使其具安全構造,並依機械設備器具安全標準之規定辦理,請舉出 10 種。
#563593
(四)移動式起重機於鬆軟的地面進行起重吊升作業時,列舉 2 種防止發生翻倒危害之補強作法。【4 分】
#563520
(三)列舉 3 種鋼索發生異常情形時,不得供起重吊掛作業使用。【6 分】
#563519
(二)依起重升降機具安全規則規定,除其他有關起重吊掛作業安全事項外, 雇主對於使用起重機具從事吊掛作業之勞工應使其辦理事項為何?(請列舉 5 項)【10 分】
#563518
相關試卷
114年 - 114 地方政府公務特種考試_三等_職業安全衛生:安全工程#134667
114年 · #134667
114年 - 114 地方政府公務特種考試_四等_職業安全衛生:安全工程概要#134656
114年 · #134656
114年 - 114 專技高考_工業安全技師:工業安全工程#133644
114年 · #133644
114年 - 114 高等考試_三級_職業安全衛生:安全工程#128736
114年 · #128736
113年 - 113 地方政府公務特種考試_三等_職業安全衛生:安全工程#124559
113年 · #124559
113年 - 113 地方政府公務特種考試_四等_職業安全衛生:安全工程概要#124345
113年 · #124345
113年 - 113 中央印製廠新進人員_甄試試題:工業安全工程#123105
113年 · #123105
113年 - 113 高等考試_三級_職業安全衛生:安全工程#121509
113年 · #121509
113年 - 113 普通考試_職業安全衛生:安全工程概要#121155
113年 · #121155
112年 - 112 臺灣菸酒股份有限公司從業職員及從業評價職位人員甄試_從業職員/職業安全衛生管理_專業科目 3:安全工程#137484
112年 · #137484