阿摩線上測驗
登入
首頁
>
化學反應工程學
>
97年 - 97 地方政府特種考試_三等_化學工程:化學反應工程學#35829
> 申論題
申論題
試卷:97年 - 97 地方政府特種考試_三等_化學工程:化學反應工程學#35829
科目:化學反應工程學
年份:97年
排序:0
申論題資訊
試卷:
97年 - 97 地方政府特種考試_三等_化學工程:化學反應工程學#35829
科目:
化學反應工程學
年份:
97年
排序:
0
題組內容
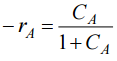
四、下述三類反應在一連續攪拌式反應器(CSTR)中進行,其空間速度(Space time, θ
m
) 為 50 秒。第一類:− r
A
=
;第二類:
;第三類:
, 其中,濃度(C
A
)單位為g-mol/m
3
,其反應速率(− r
A
)單位為g-mol/m
3
·s。
申論題內容
⑵上述三類反應中,何者在反應器中會造成多重穩定態?若是,此會造成多重穩定 態的進料濃度之範圍為何?(10 分)