阿摩線上測驗
登入
首頁
>
作業研究
>
107年 - 107 地方政府特種考試_三等_工業工程:作業研究#73469
> 申論題
題組內容
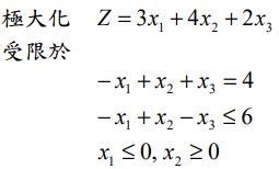
二、考慮以下線性規劃問題:
⑵利用互補差額定理(complementary slackness theorem)求解原問題。 (10 分)
相關申論題
一、某工廠未來四個月所需之技術工人工作時數如下:該工廠目前已聘用 30 位技術工人,每位月薪為 10,000 元,且其每月至 多可工作 160 小時。每個月底有 10%的技術工人離職,而新聘的技術工 人也在此時開始上班。每位新聘的工人需要接受一個月的在職訓練,其 在受訓期間的月薪只有 5,000 元,並且需要接受在職訓練 40 小時的輔 導。建構一個線性規劃模型,以在成本最小的情況下滿足該工廠未來四 個月對於技術工人之工作時數的需求。(20 分)
#298654
⑴建構並求解此問題之對偶問題。(10 分)
#298655
三、某公司將購買 5 個電視廣告時段來促銷 3 種新產品,每種產品可以使用 0 到 3 個電視廣告時段。根據估計,不同數量的電視廣告時段對各種產 品銷售量之影響如下表所示: 建構一個整數規劃模型,幫助該公司將 5 個電視廣告時段分配給 3 種新 產品,以得到最大總利潤。(20 分)
#298657
四、某市空氣品質變化的轉換機率如下表所示: 長期下來,該市空氣品質為「良」的天數所占比例為何?(20 分)
#298658
⑴將此問題轉換成最小成本流量問題。(10 分)
#298659
⑵以網路單形法(network simplex method)求解小題⑴所得之最小成本 流量問題。(10 分)
#298660
(三)若此消費性產品的市場有 10,000 名消費者,每位消費者平均一年購買 一次,A, B, C 品牌的單位售價分別為$600, $900, $1,200。請計算長期下來該消費性產品每年的總銷售額為多少?
#560545
(二)計算穩定狀態機率。
#560544
(一)寫出此問題的一階移轉機率矩陣(transition matrix)。
#560543
(四)請求算 A, B, C, D 四個方案分別適用於樂觀指數各為多少的範圍?
#560542
相關試卷
114年 - 114 地方政府公務特種考試_三等_工業工程:作業研究#134713
114年 · #134713
114年 - 114 專技高考_工業工程技師:作業研究#133680
114年 · #133680
114年 - 114 高等考試_三級_工業工程:作業研究#128750
114年 · #128750
113年 - 113 地方政府公務特種考試_三等_工業工程:作業研究#124521
113年 · #124521
113年 - 113 專技高考_工業工程技師:作業研究#123885
113年 · #123885
113年 - 113 高等考試_三級_工業工程:作業研究#121489
113年 · #121489
112年 - 112 地方政府特種考試_三等_工業工程:作業研究#118325
112年 · #118325
112年 - 112 專技高考_工業工程技師:作業研究#117594
112年 · #117594
112年 - 112 公務升官等考試_薦任_工業工程:作業研究#117328
112年 · #117328
112年 - 112 高等考試_三級_工業工程:作業研究#115450
112年 · #115450