題組內容
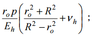
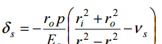
四如下圖所示為一鋼軸擬以壓入配合置入鑄鐵轂中組合前的示意圖,該軸的內半徑
ri = 30 mm、外半徑 ro = 75 mm、楊氏係數 Es = 210 Gpa 及包松比 vs = 0.3,該鑄鐵
轂的外半徑 R = 150 mm、軸向厚度 L = 25 mm、楊氏係數 Eh = 100 Gpa 及包松比
vh = 0.25。當軸安裝於轂中,已知軸孔接觸面的接觸壓力 p = 18 Mpa 及摩擦係數
f = 0.15。孔及軸徑向位移公式如下:
孔徑向位移: 

;軸徑向位移:
。
。
