阿摩線上測驗
登入
首頁
>
迴歸分析
>
99年 - 99 地方政府特種考試_三等_統計:迴歸分析#31659
> 申論題
題組內容
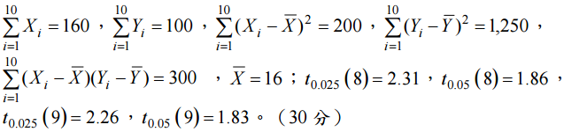
二、假設Y
i
= β
0
+ β
1
X
i
+ε
i
,i=1,2,...,10 ,
, ,已知數據如下:
⑵試求母體標準差σ 之估計值。
相關申論題
⑴試求 β0 , β1 之最小平方估計值。
#71213
⑶在α = 05.0 之下,請檢定 H0: β1=0 v.s.H1: β1 ≠ 0。
#71215
⑷試求Cov( βˆ0 ,βˆ1)之估計值。
#71216
⑸若 X = 15,試求E(Y | X = )15 之 95%信賴區間。
#71217
(6)試求判定係數 2 R 之值,並解釋其數值所代表的意義。
#71218
⑴若以郊區為參照群,請定義虛擬變數。
#71219
⑵請寫出母體迴歸模式及基本假設條件。
#71220
⑶請說明母體迴歸模式中各迴歸係數之涵義。
#71221
⑴請寫出樣本迴歸模式。(5 分)
#71222
⑵請問分析結果的(a)~(h)之值為何?(請四捨五入至小數點後第三位)(8 分)
#71223
相關試卷
112年 - 112 地方政府特種考試_三等_統計:迴歸分析#118385
112年 · #118385
112年 - 112 高等考試_三級_統計:迴歸分析#115743
112年 · #115743
111年 - 111 地方政府特種考試_三等_統計:迴歸分析#112613
111年 · #112613
111年 - 111 高等考試_三級_統計:迴歸分析#109790
111年 · #109790
110年 - 110 地方政府特種考試_三等_統計:迴歸分析#104899
110年 · #104899
110年 - 110 高等考試_三級_統計:迴歸分析#102644
110年 · #102644
109年 - 109 地方政府特種考試_三等_統計:迴歸分析#94683
109年 · #94683
109年 - 109 高等考試_三級_統計:迴歸分析#88984
109年 · #88984
108年 - 108 地方政府特種考試_三等_統計:迴歸分析#81611
108年 · #81611
108年 - 108 高等考試_三級_統計:迴歸分析#77833
108年 · #77833