題組內容
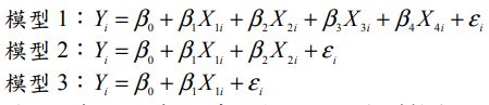
二、一位分析師隨機抽取 55 位大學生並蒐集到五個變數。該分析師希望研究身高(Y,英 吋)與受測者左前臂長度(X1,公分)、左腳長度(X2,公分)、頭圍(X3,公分) 和鼻長(X4,公分)之間的關係。該分析師考慮配適下列三個迴歸模型:

請使用表 1 和表 2 中部分 R 統計軟體輸出之變異數分析表(ANOVA,Analysis of Variance)報表來回答以下問題:


⑶假設該分析師採用模型 3。只考慮模型中具有一個解釋變數,為學生的左前臂長度 (X1)。在顯著水準 α=0.05 下,該分析師想知道一個額外的解釋變數 X2 是否在解 釋身高上具有顯著的貢獻。也就是說,該分析師想知道 X2對模型 3 的貢獻。請協助回答此問題並說明對立假設、檢定統計量之值、決策法則和結論。在表 1 和表 2 的 F 檢定中,請試述需要做何假設,才能執行這些 F 檢定。