阿摩線上測驗
登入
首頁
>
國營事業◆流體機械
>
94年 - 094年專門職業及技術人員高等建築師、技師暨普通不動產經紀人、地政士、記帳士冷凍空調工程技師#36658
> 申論題
申論題
試卷:94年 - 094年專門職業及技術人員高等建築師、技師暨普通不動產經紀人、地政士、記帳士冷凍空調工程技師#36658
科目:國營事業◆流體機械
年份:94年
排序:0
申論題資訊
試卷:
94年 - 094年專門職業及技術人員高等建築師、技師暨普通不動產經紀人、地政士、記帳士冷凍空調工程技師#36658
科目:
國營事業◆流體機械
年份:
94年
排序:
0
題組內容
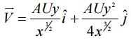
三、在層流邊界層中,有一速度場可表示為
其中 A = 150 m
-1/2
,且 U = 0.24 米/秒為自由流速度。請回答下列問題:(每小題 5 分,共 20 分)
申論題內容
⑷流線函數(Stream function)是否存在?如果存在請求出流線函數。