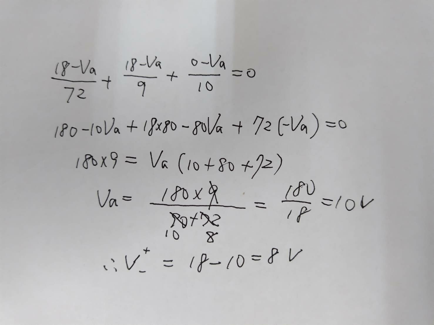
一、圖(一)之電阻組合電路中,已知
= 18 V,試求:等效電阻(
) 、電壓(v) 與電流(i)各為何?
詳解 (共 1 筆)
詳解



一、圖(一)之電阻組合電路中,已知
= 18 V,試求:等效電阻(
) 、電壓(v) 與電流(i)各為何?


