阿摩線上測驗 登入

申論題資訊

試卷:97年 - 97 經濟部所屬事業機構_新進職員甄試試題_航空氣動:流體力學、氣動力學#137021
科目:國營事業◆1.流體力學 2.氣動力學
年份:97年
排序:0

申論題內容

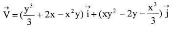
第三大題
一個二維的不可壓縮流體, 具有下列之流速場(velocity field), 請證明該流速場所代表的確為一流場(possible case of a flow), 且為一不可旋轉流(irrotational flow)