阿摩線上測驗
登入
首頁
>
熱力學與熱傳學
>
96年 - 96 專技高考_機械工程技師:熱力學與熱傳學(包括熱機)#50027
> 申論題
題組內容
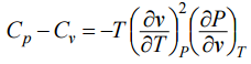
一、物質定壓比熱常數( C
p
)和定容比熱常數( C
v
)的關係式是
試以此關係式:
⑵計算理想氣體之 C
p
− C
v
值。(10 分)
相關申論題
⑴說明物質在固態和液態時 C p ≅ Cv 且 C p 值較大。(10 分)
#176754
⑴輸出功和熱效率。(10 分)
#176756
三、⑴ Nu = C Rem Pr n 是強制對流流場中常用的關係式,其中 C,m,n 是常數,以物理 現象說明 m 和 n 是正數或負數?(紐賽數(Nusselt number, Nu),雷諾數(Reynolds number, Re),普朗德數(Prandtl number, Pr))。(10 分)
#176758
⑵試定義熱阻並以數學式表示熱傳三個基本模式(basic models)之熱阻值。(10 分)
#176759
⑴當鋼球的溫度下降到 400K 時所需時間和此過程熵的改變 量,
#176760
⑴冷卻水的出口溫度,
#176762
⑵此冷凝器的性能係數(effectiveness, ε),
#176763
⑶傳遞單位數(Number of transfer units, Ntu),⑷此冷凝器的熱傳面積。(此冷凝器之性能係數和傳遞單位數之關係 為 ε = 1- exp(-Ntu))(20 分)
#176764
⑶傳遞單元數(Number of Transfer Unit, NTU)。(10 分)
#163368
⑵熱交換器性能係數 (effectiveness of the heat exchanger,ε),
#163367
相關試卷
99年 - 99 專技高考_機械工程技師:熱力學與熱傳學(包括熱機)#46599
99年 · #46599
98年 - 98 專技高考_機械工程技師:熱力學與熱傳學(包括熱機)#47473
98年 · #47473
96年 - 96 專技高考_機械工程技師:熱力學與熱傳學(包括熱機)#50027
96年 · #50027