阿摩線上測驗
登入
首頁
>
機率統計
>
97年 - 97 國家安全情報特種考試_三等_數理組(選試英文):機率統計#42301
> 申論題
題組內容
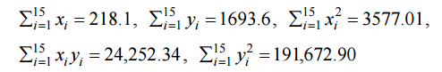
六、黏土磚塊重量的變異對建築物的結構、通風、隔音、隔熱等之設計非常重要。以下 為在一實驗中,由一組黏土磚塊之灰泥隨機樣本所得到,有關灰泥乾燥密度(y)與灰 泥空氣含量(x)之 15 筆相關數據(x
i
, y
i
),
i
=1,…, 15,其中
⑵試求 x, y 間之相關係數之估計 r。
相關申論題
一、細胞為生命組織的組成單位與功能單位,為能表現正常生命現象而具有維持細胞內外環 境恆定的能力稱為恆定性(Homeastasis),試說明細胞如何藉由細胞膜上的離子通道運 作維持此一恆定性,與利用所產生的離子濃度梯度產生靜止膜電位與動作電位等電生理 現象(10 分)。請進一步說明在動作電位的紀錄中,負責去極化(depolarization)與再 極化(repolarization)的離子通道機制(10 分)。
#133391
二、請列舉五項生醫檢測用理想運算放大器常見之電器特性參數與其所應具備之理論值, 並說明如何利用三個通用型非理想運算放大器,建構一接近上述特性之儀表放大 器(10 分)。在醫用儀表的用電安全中,如何利用接地與隔離達到防止電擊與防止 雜訊干擾之目的?請列舉常用的接地方式與隔離措施(10 分)。
#133392
三、請說明生物感測器(Biosensors)之主要組成要件與感測原理(10 分)與應用於臨 床或居家檢測時所需具備之特性參數,並試以一常見之檢測為例,說明參數合理之 定量範圍(10 分)。
#133393
四、請說明我國在醫療器材相關之規範體系中,法規(regulation)、標準(standard) 與技術規範(technical guidance)三個層次制度施行建構與推動之現況(10 分), 並闡述專利智權法規制度應如何與醫材規範相互為用,以協助我國生醫產業之推動 發展(10 分)。
#133394
五、請列舉並簡述理想生醫材料之五項要件(10 分),並簡要說明目前在臨床上所使用 的生醫材料大致可分成幾大類(10 分)?
#133395
⑴ X 與 P 的聯合機率分配?(10 分)
#133396
⑵ X 的期望值 E(X)=?(5 分)
#133397
⑶ X 的變異數 Var(X)=?(5 分)
#133398
四、欲檢定H0:µ=250 對H1:µ<250,已知母體為常態分配且標準差為σ=10,在顯著 水準α=0.05 下,抽取 25 個樣本做檢定,假設真實母體平均數µ=245,則此時檢定 力(power)為多少?(10 分)
#133401
⑴ p-value 為多少?若顯著水準為 0.05,則該補習班宣稱是否屬實?(9 分)
#133402
相關試卷
114年 - 114 國家安全情報特種考試_三等_數理組(選試英文):機率統計#127776
114年 · #127776
107年 - 107 國家安全情報特種考試_三等_數理組(選試英文):機率統計#74200
107年 · #74200
106年 - 106 國家安全情報特種考試_三等_數理組(試選英文):機率統計#103224
106年 · #103224
105年 - 105 國家安全情報特種考試_三等_數理組(選試英文):機率統計#55668
105年 · #55668
104年 - 104 國家安全情報特種考試_三等_數理組(選試英文):機率統計#41276
104年 · #41276
103年 - 103 國家安全情報特種考試_三等_數理組(選試英文):機率統計#42084
103年 · #42084
102年 - 102 國家安全情報特種考試_三等_數理組(選試英文):機率統計#42091
102年 · #42091
101年 - 101 國家安全情報特種考試_三等_數理組(選試英文):機率統計#42256
101年 · #42256
100年 - 100 國家安全情報特種考試_三等_數理組(選試英文):機率統計#42188
100年 · #42188
99年 - 99 國家安全情報特種考試_三等_數理組(選試英文):機率統計#42296
99年 · #42296