阿摩線上測驗
登入
首頁
>
高考◆大氣動力學
>
99年 - 099年高等三級暨普通高三_氣象#40229
> 申論題
題組內容
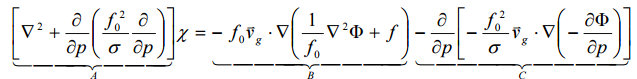
三、準地轉系統重力位趨勢方程(geopotential tendency equation)可寫成:(20 分)
⑷解釋為何中緯度槽脊系統必須隨高度往西傾斜?
相關申論題
⑴為何高壓中心之氣壓梯度和風速總是小於低壓中心?
#122902
⑵為何龍捲風無論是順時針或逆時針旋轉,其中心永遠為低壓?
#122903
⑶為何氣旋式環流用地轉風近似會產生風速被高估之情形?
#122904
⑴試分別計算 0 < r ≤ rmax 和 r > rmax 處之渦度。
#122905
⑵當 n 值為何時,在 r > rmax 處才可能有負渦度存在?
#122906
⑶試計算 0 < r ≤ 2rmax 間之總環流量。
#122907
⑴在推導準地轉系統過程中做過了那些假設?
#122908
⑵等號右邊第一項(B 項)在中緯度槽脊系統扮演角色為何?
#122909
⑶等號右邊第二項(C 項)在中緯度槽脊系統扮演角色為何?
#122910
四、請說明二次環流(secondary circulation)如何造成大氣運動之旋消(spin down)? (10 分)
#122912
相關試卷
114年 - 114 公務升官等考試_薦任_氣象:大氣動力學#133182
114年 · #133182
114年 - 114 高等考試_三級_氣象:大氣動力學#128403
114年 · #128403
113年 - 113 高等考試_三級_氣象:大氣動力學#121506
113年 · #121506
112年 - 112 公務升官等考試_薦任_氣象:大氣動力學#117306
112年 · #117306
112年 - 112 高等考試_三級_氣象:大氣動力學#115412
112年 · #115412
111年 - 111 高等考試_二級_氣象:高等大氣動力學#110948
111年 · #110948
111年 - 111 高等考試_三級_氣象:大氣動力學#109426
111年 · #109426
110年 - 110 公務升官等考試_薦任_氣象:大氣動力學#103685
110年 · #103685
110年 - 110 高等考試_三級_氣象:大氣動力學#102397
110年 · #102397
109年 - 109 高等考試_三級_氣象:大氣動力學#88749
109年 · #88749