阿摩線上測驗
登入
首頁
>
教甄◆數學
>
112年 - 112-1 臺中市立臺中第一高級中等學校教師甄選:數學#114082
> 申論題
申論題
試卷:112年 - 112-1 臺中市立臺中第一高級中等學校教師甄選:數學#114082
科目:教甄◆數學
年份:112年
排序:0
申論題資訊
試卷:
112年 - 112-1 臺中市立臺中第一高級中等學校教師甄選:數學#114082
科目:
教甄◆數學
年份:
112年
排序:
0
申論題內容
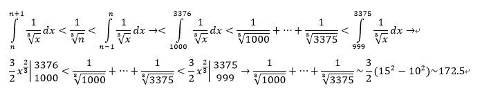
15. 設
,則 A 四捨五入至小數點後第一位的近似值為__ (15)__ 。
詳解 (共 1 筆)
詳解
提供者:minch5751