所屬科目:教甄◆數學
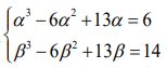
2. 設實數 α 、β 滿足 ,則 α+β 的值為__(2)__ 。
3. 設三相異複數 α ,β ,γ 在複數平面上的點分別是 A , B, C,若 |α - β| =4 且 a2+5β2+4γ2- 2αβ-8βγ=0,則 △ABC 面積為__(3)__ 。
5. 設 ,則使 f (n ) 為最大的 n 為 __(5)__ 。
7. 將 2023 個點 P1 、P2 、P3、…、 P2023 依序排在一直線上,並使得 Pk 與 Pk+1 兩點的距離為,其中 k =1,2,3, ,2022 ,則從這 2023 個點中,任取兩點的所有距離總和為__(7)__ 。
8. 如右圖,有一四角錐 A -BCDE ,底面 BCDE 為正方形,且,若四角錐 A -BCDE的表面積總和為 96 平方單位,則四角錐 A-BCDE 的體積最大值為__(8)__立方單位。
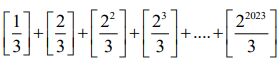
9. [x] 定義為小於或等於 x 的最大整數,則的個位數字為__(9)__ 。
10. 設四面體 O- ABC ,底面為邊長 12 的正三角形 △ABC ,且 ,令 O 在 △ABC 的投影點為 H, = 6 ,又 A 在側面 △OBC 的投影點為 K,於 上取一點 P,使得=5:1 。若過 P 點有一平面 E 與底面 △ABC 平行,則平面 E 與四面體 O- ABC 所截圖形之面積為__(10)__ 。
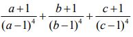
11. 設方程式 x3-4x+1=0的三個相異複數根為 a, b, c,則之值為__ (11)__ 。
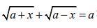
12. 設 a 為正整數,且使得方程式 有實數解,則所有 a 之總和為 __(12)__ 。
13. 設 F1、 F2 為雙曲線之兩焦點, F1 在 F2 之左側,P 在雙曲線Γ 上,且 P、F1、 F2 不共線。若 G、I 分別為△PF1F2 之重心與內心,且直線垂直 x 軸,則△PF1F2 的內切圓半徑為__(13)__ 。
14. 設坐標平面上有兩定點 A(2,3), B(-9,6) 。若點 P 為圓Γ:x2+y2=52 上之動點,則之最小值 為 __(14)__ 。
15. 設 ,則 A 四捨五入至小數點後第一位的近似值為__ (15)__ 。