阿摩線上測驗
登入
首頁
>
教甄◆數學
>
112年 - 112-1 臺中市立臺中第一高級中等學校教師甄選:數學#114082
> 申論題
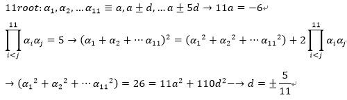
4. 有一 11 次實係數方程式 x
11
+6x
10
+5x
9
+a
8
x
8
+...+a
1
x+a
0
= 0,已知此方程式的根形成等差數列,則此數列的公差值為__ (4)__ 。
詳解 (共 1 筆)
minch5751
詳解 #5817536
2023/05/20
相關申論題
1. 若將 22 個相同球放入 3 個不同袋子,每袋至少一球,則任兩袋球數和大於第三袋球數的情形有__ (1)__ 種。
#487105
2. 設實數 α 、β 滿足 ,則 α+β 的值為__(2)__ 。
#487106
3. 設三相異複數 α ,β ,γ 在複數平面上的點分別是 A , B, C,若 |α - β| =4 且 a2+5β2+4γ2- 2αβ-8βγ=0,則 △ABC 面積為__(3)__ 。
#487107
5. 設 ,則使 f (n ) 為最大的 n 為 __(5)__ 。
#487109
6. 已知方程式 x4+ x=-1的四根為 a ,b, c ,d,則 (a2-3)(b2-3)(c2-3)(d2-3) 的值為 __(6)__ 。
#487110
7. 將 2023 個點 P1 、P2 、P3、…、 P2023 依序排在一直線上,並使得 Pk 與 Pk+1 兩點的距離為,其中 k =1,2,3, ,2022 ,則從這 2023 個點中,任取兩點的所有距離總和為__(7)__ 。
#487111
8. 如右圖,有一四角錐 A -BCDE ,底面 BCDE 為正方形,且,若四角錐 A -BCDE的表面積總和為 96 平方單位,則四角錐 A-BCDE 的體積最大值為__(8)__立方單位。
#487112
9. [x] 定義為小於或等於 x 的最大整數,則的個位數字為__(9)__ 。
#487113
10. 設四面體 O- ABC ,底面為邊長 12 的正三角形 △ABC ,且 ,令 O 在 △ABC 的投影點為 H, = 6 ,又 A 在側面 △OBC 的投影點為 K,於 上取一點 P,使得=5:1 。若過 P 點有一平面 E 與底面 △ABC 平行,則平面 E 與四面體 O- ABC 所截圖形之面積為__(10)__ 。
#487114
11. 設方程式 x3-4x+1=0的三個相異複數根為 a, b, c,則之值為__ (11)__ 。
#487115
相關試卷
115年 - 115 臺北市公立國民小學教師聯合甄選初試基礎類科知能試題:數學#139894
115年 · #139894
115年 - 115 教育部受託辦理公立高級中等學校教師甄選試題:數學科#139603
115年 · #139603
115年 - 115-1 國立彰化高級中學_教師甄選試題:數學科#139364
115年 · #139364
115年 - 115 臺北市立南港高級中學_正式教師甄選_高中數學科#139341
115年 · #139341
115年 - 115-1 新北市立板橋高級中學_正式教師甄選試題:數學科#139339
115年 · #139339
115年 - 115-1 臺北市立南湖高級中學_正式教師甄選試題:數學科#139253
115年 · #139253
115年 - 115 國立屏東大學_各師資類科教育學程甄選試題:數學#139246
115年 · #139246
115年 - 115 臺北市立陽明高級中學正式教師甄選試題:高中數學科#139228
115年 · #139228
115年 - 115 新北市公立高級中等學校_教師聯合甄選試題:數學科#139227
115年 · #139227
115年 - 115 臺北市立內湖高級工業職業學校_正式教師甄試:數學科#139221
115年 · #139221