19. 已知一橢圓的兩焦點為 (1,3), (1,5) 且其短軸長為 6 ,則該橢圓方程式 為 。
詳解 (共 1 筆)
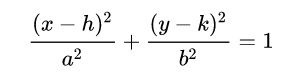
詳解
正常水平橢圓方程式:
請問因為是鉛直的橢圓,所以方程式才a,b 互換嗎?