阿摩線上測驗
登入
首頁
>
高等水文學
>
114年 - 114 高等考試_二級_水利工程:高等水文學#131574
> 申論題
題組內容
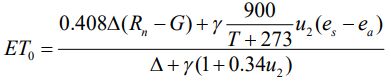
三、FAO-56 推薦的參考作物蒸散量計算公式如下,試回答下列五個問題(25 分)
2.淨輻射與土壤熱通量 R
n
-G 在蒸發散 ET 中的角色為何?
相關申論題
一、經濟部水利署(以下簡稱水利署)作為臺灣水利政策的主要主管機關,在氣候變遷下必須面對水資源分配、防洪治理、基礎建設與跨部會協調等挑戰。試論述:(25 分)1.水利署在水文、水資源政策推動上的核心角色與責任。2.水利署與其他部會(如環境部、農業部、經濟部能源署、內政部國土管理署)之間的協作關係。3.水利署與地方政府、區域水資源單位之間的跨層級協調模式。4.在國際淨零趨勢下,水利署未來水資源政策發展的方向與挑戰。
#554029
1.計算都市化後設計降雨強度。
#554030
2.計算設計都市化後尖峰流量之改變率。
#554031
3.論述氣候變遷可能對此水文設計之影響。
#554032
1.此公式包括能量項與空氣動力項,試說明兩項分別反映那些物理過程?
#554033
3.風速 u2 如何影響水氣交換?
#554035
4.為什麼要用「飽和水氣壓差 es- ea 」來描述空氣乾濕狀態,對蒸發散的影響為何?
#554036
5.在高溫乾燥且大風的情境下,那一項會主導蒸發散?在多雲高濕且低風速的情境下,又是那一項主導?試解釋原因。
#554037
1.說明上限、下限與嚴重下限意涵。
#554038
2.為何兩個水庫規線的線條型態顯著不同?鯉魚潭水庫上限最低點約在 3 月,而石門水庫上限最低點在 5~7 月?會導致什麼不同管理的影響?
#554039
相關試卷
114年 - 114 高等考試_二級_水利工程:高等水文學#131574
114年 · #131574
113年 - 113 高等考試_二級_水利工程:高等水文學#123052
113年 · #123052
107年 - 107 高考二級 高等水文學#72403
107年 · #72403
106年 - 106 高等考試_二級_水利工程:高等水文學#65188
106年 · #65188
102年 - 102 高等考試_二級_水利工程:高等水文學#25397
102年 · #25397
99年 - 99 高等考試_二級_水利工程:高等水文學 #28475
99年 · #28475
98年 - 98 高等考試_二級_水利工程:高等水文學#34358
98年 · #34358