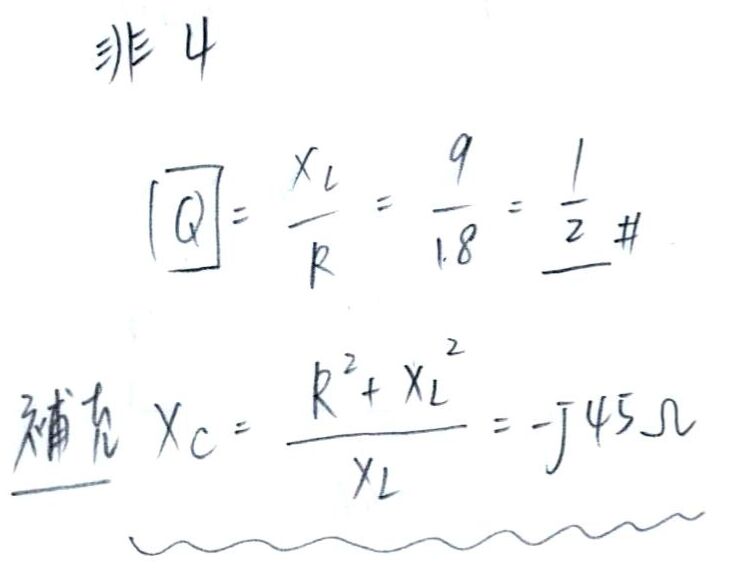
4. 如圖(5) 所示 RLC 串並聯電路,若 R=18Ω,XL=9 Ω,V=110V,若調整可變電容使電路達到諧振時,試求品質因數 Q 為多少?
詳解 (共 1 筆)
詳解

4. 如圖(5) 所示 RLC 串並聯電路,若 R=18Ω,XL=9 Ω,V=110V,若調整可變電容使電路達到諧振時,試求品質因數 Q 為多少?
