阿摩線上測驗
登入
首頁
>
機械製圖
> 無年度 - 東海高中汽車科 機械製圖 第十章基本工作圖101-150#24271
無年度 - 東海高中汽車科 機械製圖 第十章基本工作圖101-150#24271
科目:
機械製圖 |
選擇題數:
50 |
申論題數:
0
試卷資訊
所屬科目:
機械製圖
選擇題 (50)
101. 下列有關件號線之敘述,何者錯誤? (A)件號線由零件邊引出 (B)件號線由零件內引出 (C)件號線之引出點加一小黑圓點 (D)件號線末端對準件號數字中心。
102. 公用的表面符號為
是指零件圖2中 (A)表面粗糙度均為6.3 (B)無標示的表面粗糙度均為6.3 (C)表面粗糙度均為1.6 (D)無標示的表面粗糙度可為1.6。
103. 下列有關件號線之敘述,何者錯誤? (A)宜成水平或垂直狀 (B)避免相互交叉 (C)件號線之引出端加一小黑圓點 (D)件號線末端對準件號數字中心。
104. 公用的表面符號為 是指零件圖3中 (A)表面粗糙度均為1.6 (B)表面粗糙度均為3.2 (C)無標示的表面粗糙度均為25 (D)無標示的表面粗糙度均為2.5。
105. 組合圖中件號線之配置,下列何者錯誤? (A)成放射狀 (B)互成傾斜平行狀 (C)宜成水平或垂直狀 (D)以上皆非。
106. 表面符號為
中,「e」的位置是表示 (A)加工方法 (B)加工紋路 (C)基準長度值 (D)加工裕度。
107. 通常完整的工作圖包括零件圖與 (A)組合圖 (B)立體圖 (C)立體系統圖 (D)輪廓組合圖。
108. 機件加工後的凹凸情況,是以 (A)表面符號 (B)表面粗糙度 (C)加工符號 (D)以上皆可 表示。
109. 「Ra」代表 (A)最大粗糙度 (B)十點平均粗糙度 (C)中心線平均粗糙度 (D)平均值粗糙度。
110. 已發出的圖需更改時,應在圖上列表記載更改的符號,以便日後查考,其符號為 (A)正方形 (B)圓形 (C)正三角形 (D)直角三角形。
111. 通常由組合圖繪製成零件圖時,宜先 (A)繪出各零件圖 (B)繪出標題欄 (C)了解組合件的構造與機能 (D)繪出零件表。
112. 「0.32a」是表示 (A)最大粗糙度 (B)十點平均粗糙度 (C)中心線平均粗糙度 (D)平均值粗糙度。
113. 零件圖繪製時,應儘量採用 (A)放大比例 (B)實大比例 (C)縮小比例 (D)不同的比例。
114. 「3.2s」是表示 (A)最大粗糙度 (B)十點平均粗糙度 (C)中心線平均粗糙度 (D)平均值粗糙度。
115. 「3.2z」是表示 (A)最大粗糙度 (B)十點平均粗糙度 (C)中心線平均粗糙度 (D)平均值粗糙度。
116. 單頁書寫的零件表,其件號填寫次序 (A)由上向下 (B)由下向上 (C)由左向右 (D)以上皆可。
117. 基準長度的單位是 (A)
(B)mm (C)cm (D)m。
118. 修改後的圖,更改的每一筆記錄均需記載於更改欄中,應包含 (A)記號 (B)日期 (C)更改項目及姓名 (D)以上皆是。
119. 「3.2a」應屬於 (A)粗切面 (B)細切面 (C)精切面 (D)超光面。
120. 組合圖中兩相鄰機件之剖面線不宜採用 (A)方向一致,間隔一致 (B)方向一致,間隔不同 (C)方向不同,間隔一致 (D)方向不同,間隔不同。
121. 「3.2s」應屬於 (A)粗切面 (B)細切面 (C)精切面 (D)超光面。
122. 在組合剖面中,下列零件不得塗黑的是 (A)把手 (B)彈簧 (C)鐵板 (D)薄墊圈。
123. 將零件裝配在一起,所繪製之工作圖稱為 (A)標準圖 (B)配置圖 (C)外形圖 (D)組合圖。
124. 「3.2z」應屬於 (A)粗切面 (B)細切面 (C)精切面 (D)超光面。
125. 「
」其中N8是表示 (A)公差 (B)配合 (C)粗糙度等級 (D)以上皆非。
126. 工作圖中標準零件的規格應標註於 (A)零件圖中 (B)組合圖中 (C)標題欄內 (D)零件表內。
127. 表面符號為
中,「3.2」是表示表面粗糙度的 (A)公差等級 (B)最大極限 (C)最小極限 (D)準長度值。
128. 工作圖包括零件圖與 (A)組合圖 (B)立體圖 (C)立體系統圖 (D)輪廓組合圖。
129. 零件圖標題欄中之數量表示 (A)每一組裝配所需之數量 (B)每一批所須發工之數量 (C)每一批裝配所需之數量 (D)安全庫存量。
130. 表面符號為
中,「5」是表示表面粗糙度的 (A)加工方法 (B)加工紋路 (C)基準長度值 (D)加工裕度。
131. 件號線在CNS中規定為 (A)細線 (B)中線 (C)粗線 (D)細鏈線。
132. 表面符號為
中,「2.5」是表示表面粗糙度的 (A)加工方法 (B)加工紋路 (C)基準長度值 (D)加工裕度。
133. 繪製工作圖時,對於一般標準機件,為求完整 (A)須繪製零件圖 (B)不須繪製零件圖但須有規格 (C)須繪製且有規格 (D)不一定。
134. 表面符號為
中,「c」的位置是表示 (A)加工方法 (B)加工紋路 (C)基準長度值 (D)加工裕度。
135. 公用之表面符號為
是指 (A)圖中標示的表面粗糙度均為3.2 (B)圖中無標示的表面粗糙度均為3.2 (C)圖中無標示的表面粗糙度均為1.6 (D)圖中無標示的表面粗糙度可為3.2或1.6。
136. 工作圖中最常用之投影法為 (A)透視圖法 (B)斜視圖法 (C)鳥瞰圖法 (D)正投影法。
137. 一張完整工件圖 (A)不必另加說明 (B)須附實物 (C)須加畫立體圖 (D)須加口頭說明,才能製造零件。
138. 表面符號為
中,「6.3」是表示表面粗糙度的 (A)等級 (B)最大極限 (C)最小極限 (D)上下極限。
139. 表面符號為
,表示該物體表面狀況是 (A)粗切面 (B)細切面 (C)精切面 (D)超光面。
140. 組合圖之件號線以細實線由該零件內引出,在零件內之一端加 (A)一小黑點 (B)一箭頭 (C)一圓圈 (D)一方框。
141. 車床尾座之組合圖,在車床工作圖中為 (A)部分組合圖 (B)配置組合圖 (C)輪廓組合圖 (D)系統組合圖。
142. 公用的表面符號
是指零件3中 (A)表面粗糙度均為1.6 (B)表面粗糙度均為3.2 (C)無標示的表面粗糙度均為25 (D)無標示的表面粗糙度均為2.5。
143. 一般而言表面粗糙度的最大粗糙度值,約為中心線平均粗糙度值的 (A)1 (B)2 (C)3 (D)4 倍。
144. 件號字體大小其字高為尺度數字高之 (A)
(B)1.5 (C)2 (D) 倍。
145. 零件表之排列順序一般是 (A)標準零件居前,大件殿後 (B)較大者居前,標準零件殿後 (C)依組合順序而定 (D)任意排列。
146. 表面粗糙度Ra為6.3,即等於粗糙度的等級是 (A)N7 (B)N8 (C)N9 (D)N10。
147. 切削加工的表面刀痕方向成放射狀時,其表示符號為 (A)X (B)C (C)M (D)R。
148. 右列在組合圖中哪一種可沿中心線剖切? (A)軸 (B)鍵 (C)鉚釘 (D)齒輪。
149. 表面粗糙度之最大粗糙度值大部分約為中心線平均粗糙度值之 (A)1 (B)2 (C)3 (D)4 倍。
150. 組合圖中通常,可省略的線為 (A)中心線 (B)隱藏線 (C)剖面線 (D)輪廓線。
申論題 (0)
相關試卷
114年 - 114 全國高級中等學校學生技藝競賽考試_工業類:機械製圖#137980
114年 · #137980
113年 - 113 全國高級中等學校學生技藝競賽考試_工業類:機械製圖#138094
113年 · #138094
112年 - 112 全國高級中等學校學生技藝競賽考試_工業類:機械製圖#138263
112年 · #138263
111年 - 111 全國高級中等學校學生技藝競賽考試_工業類:機械製圖#138312
111年 · #138312
111年 - 111 臺北市市立高級中等學校正式教師聯合甄選:機械/製圖科#107361
111年 · #107361
110年 - 110 全國高級中等學校學生技藝競賽考試_工業類:機械製圖#139130
110年 · #139130
110年 - 110 全國高級中等學校學生技藝競賽考試_工業類:機械製圖#138613
110年 · #138613
108年 - 108 全國高級中等學校學生技藝競賽考試_工業類:機械製圖#139133
108年 · #139133
107年 - 107 全國高級中等學校學生技藝競賽考試_工業類:機械製圖#139732
107年 · #139732
107年 - 107 全國高級中等學校學生技藝競賽考試_工業類:機械製圖#139394
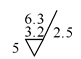
107年 · #139394