阿摩線上測驗
登入
首頁
>
船用電機與自動控制(概要)
> 100年 - 100年第四次專技高考船用電機與自動控制#45355
100年 - 100年第四次專技高考船用電機與自動控制#45355
科目:
船用電機與自動控制(概要) |
年份:
100年 |
選擇題數:
40 |
申論題數:
0
試卷資訊
所屬科目:
船用電機與自動控制(概要)
選擇題 (40)
1.若no為旋轉磁場速度,n為轉子轉速,則三相感應電動機的轉差率計算公式為何? (A)S = (no+n) / no (B)S = (no-n) / n (C)S = (no-n) / no (D)S = (no+n) / n
2.空氣壓縮機的自動控制方式為何? (A)空氣櫃內氣壓的高低值雙位控制 (B)出口管內氣壓的高低值雙位控制 (C)進出管內氣壓的高低值雙位控制 (D)冷卻水溫度的高低值雙位控制
3.在自動舵中加入微分環節之目的為何? (A)使系統在回舵過程中提前給予反舵角 (B)使系統能檢測小的偏航角 (C)使系統能發出偏航之警報 (D)使S航跡振幅變大
4.有關同步發電機之敘述,下列何者正確? (A)接電感性負載時,其輸出電壓隨輸出電流的增加而減少 (B)接電感性負載時,其輸出電壓隨輸出電流的增加而增加 (C)接電容性負載時,其輸出電壓隨輸出電流的增加而減少 (D)接電容性負載時,其輸出電壓不受電樞反應影響
5.NPN型BJT電晶體作放大器使用時,電晶體的基極必須呈現: (A)較射極為正 (B)較射極為負 (C)較集極為正 (D)0 V
6.柴油引擎轉速控制系統中,控制器(Controller)是指: (A)柴油機 (B)轉速量測單元 (C)調速器 (D)燃油噴射泵的油量調節機構
7.額定值為1 W,100 Ω的碳膜電阻,在使用時電流和電壓不得超過: (A)1 A/100 V (B)0.1 A/10 V (C)0.01 A/1 V (D)0.01 A/10 V
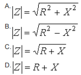
8. 在單相交流電路中,阻抗|z |與電阻(R)和電抗(X)三者的關係為:
9.關於電感的下列說法,何者錯誤? (A)電感在穩態電路中相當於短路 (B)電感是耗能元件 (C)電感是金屬線圈組成的元件 (D)電感中的電流不能突變
10.下列有關船舶照明系統中電源插座之規定何者正確? (A)插座與照明線路原則上應分開 (B)有可燃氣體聚積的場所應可選擇性使用防爆插座 (C)乾燥艙室的插座可不必接地 (D)大電流插座的連鎖開關應可鎖定在分斷位置
11.檢測氣缸套磨損量和磨損速度之主要目的為何? (A)提供主機的檢修預報 (B)改變主機的最高速率 (C)調整主機氣缸冷卻水的溫度 (D)調整主機氣缸套的磨耗量
12.當液位升高時,船舶吹氣式液位感測器(Air purge type level detector)之變化為: (A)導管壓力大於平衡室壓力,輸出壓力增大 (B)導管壓力大於平衡室壓力,輸出壓力變小 (C)導管壓力等於平衡室壓力,輸出壓力增大 (D)導管壓力等於平衡室壓力,輸出壓力變小
13.船舶故障警報裝置中,為防止瞬間的錯誤警報,應設: (A)故障迴路 (B)電阻-電感電路 (C)電阻-電容電路 (D)暫存器
14.二台同步發電機並聯時,下列何項條件可以不必滿足? (A)電壓 (B)頻率 (C)電流 (D)相位
15.每一種柴油引擎都有其臨界速率(Critical speed)亦即危險轉數,此為引擎在此轉速運轉時之頻 率與下列何種頻率相互共振而稱之? (A)推進軸系之自然頻率 (B)螺旋槳產生之頻率 (C)透平機所產生之頻率 (D)船體固有之頻率
16.大型低速柴油主機運轉中換向較不受轉速的限制,從停油到換向完成,轉速已降到較低的範圍, 故一般皆採用何種制動方式? (A)能耗制動 (B)強制制動 (C)緊急制動 (D)軸系制動
17.Sulzer RTA主機在運轉中,因某機件故障或其他設定相關的油、水壓力過低,造成主機自動減俥 (Slow down);其減速至港內運轉區域的什麼轉速? (A)惰速(DEAD SLOW) (B)慢速(SLOW) (C)半速(HALF) (D)全速(FULL)
18.兩發電機進行同步並俥時,同步錶在下列何種情況時雙機投入並聯? (A)順時針轉動(大約2~5秒轉一周)到6點位置 (B)逆時針轉動(大約2~5秒轉一周)到6點位置 (C)順時針轉動(大約2~5秒轉一周)到11點位置 (D)逆時針轉動(大約2~5秒轉一周)到11點位置
19. 下列何者非自動調頻、調載裝置之功能? (A)保持電路系統的電壓及頻率之穩定 (B)按並聯運行機組的容量比例進行負荷分配 (C)當接到取消並聯指令,可自動轉移負荷 (D)自動偵測電樞反應程度,調整負載功率因數
20.在實際操作中,要改變同步發電機的頻率,可由下列何者之調整來達成? (A)原動機的轉速 (B)輸出電流 (C)輸出電壓 (D)激磁電流
21.讓SCR正常導通的方法為: (A)在A-K極間加順向偏壓 (B)在A-G極間加順向偏壓 (C)在G-K極間加順向偏壓 (D)在K-G極間加順向偏壓
22.同步發電機單機運轉,若突然發生ACB斷路器跳脫,其不可能之因素為何? (A)短路 (B)失壓 (C)過載 (D)逆功率
23.剛修復的直流複激式發電機,磁極有剩磁,雖然原動機已達額定轉速,但發電機仍不能產生電 壓,其可能之原因為何? (A)電樞反應過小 (B)電樞反應過大 (C)串激磁場繞組之接頭接反了 (D)並激磁場繞組之接頭接反了
24.有關電流繼電器的敘述,下列何者錯誤? (A)線圈導線粗 (B)線圈匝數少 (C)應採用串聯方式連接 (D)屬於彈性支撐元件
25.在交流電路中,視在功率S,有效功率P,無效功率Q三者的關係是:
26.船舶故障警報裝置中,時間延時的設定在於: (A)延時接通警報線路,防止錯誤警報 (B)按確認鈕後,延時消除警報聲音 (C)延時斷開警報線路,保持警報狀態 (D)警報時紅燈閃亮,聲響警報延時響起
27.岸電接線箱使用之空氣斷電器,對於何種現象無法保護? (A)低電壓跳脫 (B)過電流跳脫 (C)欠相 (D)短路
28.採用離合器換向的柴油主機多為下列那一型主機? (A)低速柴油機 (B)高速柴油機 (C)二行程柴油機 (D)四行程柴油機
29.三台單相變壓器接成Δ-Δ接線後,其二次側相電壓與線電壓之關係為何? (A)前者大於後者 (B)前者等於後者 (C)前者小於後者 (D)視負載而定
30.下列何種溫度計器適合用於1000℃以上之溫度量測? (A)鉻鎳-鋁鎳熱電偶溫度計 (B)白金感溫電阻計 (C)鉑-鉑銠熱電偶溫度計 (D)熱敏電阻測溫計
31.皮氏管(Pitot tube)一般常被應用於何種計器? (A)煙濃度指示器 (B)流量計 (C)水位計 (D)檢鹽計
32.下圖電路之特性為:
(A)低通(Low pass)電路 (B)高通(High pass)電路 (C)帶通(Band pass)電路 (D)帶拒(Band reject)電路
33.下列何者影響電感之數值最明顯? (A)線圈數 (B)磁路長度 (C)鐵芯材料 (D)鐵芯面積
34.當變壓器的負載端開路,變壓器的主要損失為何? (A)銅損 (B)只有磁滯損 (C)只有渦流損 (D)同時有磁滯損及渦流損
35.在無人當值的機艙,通常必備何種系統以取代夜間輪機員的當值? (A)遙控主機操俥系統 (B)機艙監控系統 (C)鍋爐自動給水系統 (D)溫度自動控制系統
36.某輪有三組AC 450 V 3 Ø,1,100 KVA柴油發電機,其中兩部機組正處於並聯運轉中,但負載分 配尚未調勻,經觀察匯流排頻率是符合60 Hz標準值的,但1號機組之負荷較低。欲使引擎負荷均 攤,則自動配電盤應如何調整?①增加1號機油門 ②增加2號機油門 ③減少1號機油門 ④減 少2號機油門 (A)①② (B)②③ (C)③④ (D)④①
37.現今商船AC電力系統一般採用的額定頻率為何?①50 Hz ②60 Hz ③100 Hz ④120 Hz (A)①② (B)②③ (C)③④ (D)④①
38.下列何處不是柴油主機遙控系統可操縱的地方? (A)駕駛台 (B)機艙控制室 (C)機側 (D)舵機房
39.柴油主機在加速過程中,為避免噴油量過多而引起燃燒不良,通常設置何種限制? (A)最小油量 (B)最大油量 (C)轉矩 (D)掃氣壓力
40.柴油主機自動控制系統中,在何種情況之下起動,主機會先進入慢速起動程序? (A)主機剛剛停止 (B)主機停止超過30分鐘以上 (C)主機剛剛大修過 (D)主機起動程序故障
申論題 (0)
相關試卷
115年 - 115年第一次航海人員測驗【602】二等管輪【000022】船用電機與自動控制概要#138328
115年 · #138328
115年 - 115-1 航海人員測驗 _ 一等管輪:船用電機與自動控制#137837
115年 · #137837
114年 - 114-4 航海人員測驗_二等管輪:船用電機與自動控制概要#133727
114年 · #133727
114年 - 114-4 航海人員測驗 _ 一等管輪:船用電機與自動控制#133524
114年 · #133524
114年 - 114-3 航海人員測驗_一等管輪:船用電機與自動控制概要#130590
114年 · #130590
114年 - 114-3 航海人員測驗_二等管輪:船用電機與自動控制概要#130417
114年 · #130417
114年 - 114 海岸巡防特種考試_三等_海洋巡護科輪機組:船用電機與自動控制#129555
114年 · #129555
114年 - [無官方正解]114-2 航海人員測驗_二等管輪:船用電機與自動控制概要#128256
114年 · #128256
114年 - 114-2 航海人員測驗_一等管輪:船用電機與自動控制#127546
114年 · #127546
114年 - 114-1 航海人員測驗_二等管輪:船用電機與自動控制概要#125848
114年 · #125848