阿摩線上測驗
登入
首頁
>
電路學
> 100年 - 100 調查特種考試_三等_電子科學組:電子電路學#26960
100年 - 100 調查特種考試_三等_電子科學組:電子電路學#26960
科目:
電路學 |
年份:
100年 |
選擇題數:
0 |
申論題數:
9
試卷資訊
所屬科目:
電路學
選擇題 (0)
申論題 (9)
⑴如果我們說短路是電壓等於零,斷路是電流等於零,那麼電壓等於零且電流等於零是短路還是斷路?
⑵如果我們說短路是電壓等於零,而且用一個關上的開關來表示短路;斷路是電流等於零,而且用一個打開的開關來表示斷路;那麼電壓等於零且電流等於零是短路還是斷路?(請注意開關關上與開關打開是相反動作)
⑶如果我們說短路是電壓等於零,電流可以是任何可能的值;斷路是電流等於零,電壓可以是任何可能的值;那麼電壓等於零且電流等於零是短路還是斷路?
⑷上面三組說法與答案那一個最為完整正確?為什麼?
⑴ 5 分
⑵ 15 分)
【已刪除】三、試以回授的觀念求解下圖電路之輸入電阻、輸出電阻,及輸出與輸入之電壓增益。 (20 分)
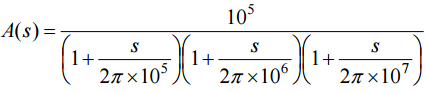
【已刪除】四、試繪出基本放大器增益為
之振幅頻 率響應圖及相角頻率響應圖。請問對一個回授放大器而言,其回授參數 β 值多少 時此回授放大器會振盪?其回授參數 β 值多少時此回授放大器會是穩定的?其回 授參數 β 值多少時此回授放大器會是不穩定的?另外,不穩定的情形可以如何改 進?(20 分)
【已刪除】五、下列三階振盪器電路中負增益放大器之 K 值為何時電路才能振盪?又其振盪頻率為 何?(20 分)
相關試卷
114年 - 114 地方政府公務特種考試_三等_電力工程、電子工程、電信工程:電路學#134770
114年 · #134770
114年 - 114 專技高考_電機工程技師:電路學#133707
114年 · #133707
114年 - 114 專技高考_電子工程技師:電路學#133700
114年 · #133700
114年 - 114 公務升官等考試_薦任_電力工程、電子工程、電信工程:電路學#133241
114年 · #133241
114年 - 114 高等考試_三級_電力工程、電子工程、電信工程:電路學#128784
114年 · #128784
113年 - 113-2 國營臺灣鐵路股份有限公司_從業人員甄試_第8階-助理工程師-電機:電路學#137142
113年 · #137142
113年 - 113 地方政府公務特種考試_三等_電力工程、電子工程:電路學#124508
113年 · #124508
113年 - 113 專技高考_電機工程技師:電路學#123962
113年 · #123962
113年 - 113 專技高考_電子工程技師:電路學#123933
113年 · #123933
113年 - 113 高等考試_三級_電力工程、電子工程、電信工程:電路學#121512
113年 · #121512