阿摩線上測驗
登入
首頁
>
工程數學(應用數學, 線性代數、微分方程、複變函數與機率)
> 100年 - 100 鐵路特種考試_高員三級_電力工程、電子工程:工程數學#35872
100年 - 100 鐵路特種考試_高員三級_電力工程、電子工程:工程數學#35872
科目:
工程數學(應用數學, 線性代數、微分方程、複變函數與機率) |
年份:
100年 |
選擇題數:
20 |
申論題數:
7
試卷資訊
所屬科目:
工程數學(應用數學, 線性代數、微分方程、複變函數與機率)
選擇題 (20)
1 若 F(s)為 f(t)之拉普拉斯轉換,
則 f(t)為何? (A)f(t)=0.1+0.9t (B)f(t)=0.1+0.9te-3.24t (C) f(t)=0.1cos1.8t +0.9sin1.8t (D) f(t)=0.1cos1.8t +0.5sin1.8t
2 下列何者不是正合微分方程式(exact differential equation)? (A)e
-2θ
(rdr-r
2
dθ)=0 (B) 2xydy=(x
2
+y
2
)dx (C) 2xydx+x
2
dy=0 (D) 2(sin 2x)(sinh y)dx-(cos 2x)(cosh y)dy=0
3 下列何者為y'=3x
2
(y+2)之解,其中c為任意常數: (A)ln|y+2|=x
3
+c(B) In|y+2|=x
2
+c (C)ln|y+4|=x
3
+c(D) ln|y+4|=x
2
+c
4 求解微分方程 9yy'+4x=0,y(1)=0,其解為下列何者? (A) 9x
2
+4y
2
=36 (B) 9x
2
-4y
2
=1 (C)
(D)
5 求解微分方程 y'=cosh 4x,其解為下列何者? (A)
(B)
(C)
(D)
6 求解微分方程y"-4πy'+4π
2
y=0,其解為下列何者? (A)y=(c
1
+c
2
x)e
-2πx
(B)y=(c
1
+c
2
x)xe
-2πx
(C)y=(c
1
+c
2
x)e
2πx
(D)y=(c
1
+c
2
x)xe
2πx
7 下列那一個複數函數不是可解析函數? (A)f(z)=sin(z) (B)f(z)=cos(z) (C)f(z)=e
-z
(D)f(z)= |z|
2
8 假設 z 為一複變數,試問
之值為下列何者? (A) 0 (B) e+ ( 1/ e ) (C) 2πi (D) 1
9 令收斂區間為 0< z <2π,試求複變數函數
以勞倫茲級數(Laurent series)表示時,其留數(residue)應為下列何值? (A) 0 (B)
(C)
(D) 1
10 求
=? (A)
(B)
(C)
(D)
11 若▽f=
i
+3
j
-2
k
且▽g=3
i
+2
j
+
k
,則▽‧(f ▽g)為: (A) 0 (B) 7i-7j-7k (C) 7 (D)-7i+7j+7k
12 若函數
,試求在點(0,1,1)之梯度(gradient): (A)
(B)
(C)
(D)
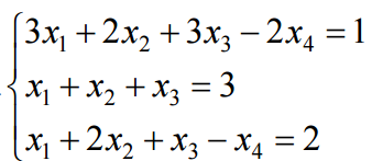
13 若矩陣 ,則:
(A)
(B)
(C)
(D)
14 若矩陣
,其三個特徵值(eigenvalues)為 λ1、λ2 、λ3 ,則λ1 + λ2 +λ 3+ λ 1λ2 + λ2 λ3 + λ1 λ3 + λ1λ2 λ3 之值為下列何者? (A) 21 (B) 22 (C) 23 (D) 24
【已刪除】15 一線性轉換T : R
2
→R
2
滿足
? (A)
(B)
(C)
(D)
(E)一律給分
16 若線性轉換
,則合成轉換 為: T=T
1
oT
2
(A)
(B)
(C)
(D)
17 下列何者為赫密特(Hermitian)矩陣? (A)
(B)
(C)
(D)
18 隨機變數 X、Y 之結合機率密度函數(joint probability density function)為
,則下列各期 望值何者正確? (A)
(B)
(C)
(D)
19 若F (s) 為f (t) 之拉普拉斯(Laplace)轉換,則
之拉普拉斯轉換為:(A) e
as
F (s) (B)e
-as
F(s) (C) F(s+
a
) (D) F(s-
a
)
20 一連續隨機變數(continuous random variable)X 均勻(uniformly)分布於 500 與 1000 之間,試問以下何者錯誤? (A)其機率密度函數(probability density function)於 500 與 1000 間為 1/500,其餘為 0 (B)其相對應之累積分布函數(cumulative distribution function)於 500 與 1000 間為一斜坡(ramp)函數,其餘為 0 (C) X 等 於 888 之機率為 0 (D) X 落 於 550 與 950 間 之機 率 為 0.8
申論題 (7)
【已刪除】一、試利用拉氏轉換(Laplace transform)求解 ;
其中
。(15 分)
【已刪除】二、求
之一般解。(10 分)
⑴假設原點不被 C 圍繞。(5 分)
⑵假設原點被 C 圍繞。(10 分)
⑴試求 P(X=5)。(3 分)
⑵試求 P(X>3)。(3 分)
⑶試求 P(2.5<X<6)
相關試卷
114年 - 114 專技高考_電機工程技師:工程數學(包括線性代數、微分方程、複變函數與機率)#133679
114年 · #133679
114年 - 114 專技高考_電子工程技師:工程數學(包括線性代數、微分方程、向量分析、複變函數與機率)#133677
114年 · #133677
114年 - 114 調查特種考試_三等_電子科學組:工程數學#129578
114年 · #129578
114年 - 114 國家安全情報特種考試_三等_電子組(選試英文):工程數學#127780
114年 · #127780
113年 - 113 專技高考_電子工程技師:工程數學(包括線性代數、微分方程、向量分析、複變函數與機率)#123976
113年 · #123976
113年 - 113 專技高考_電機工程技師:工程數學(包括線性代數、微分方程、複變函數與機率)#123971
113年 · #123971
113年 - 113 調查特種考試_三等_電子科學組:工程數學#122110
113年 · #122110
113年 - 113 身心障礙特種考試_三等_電力工程:工程數學#119517
113年 · #119517
112年 - 112 地方政府特種考試_三等_電力工程、電子工程:工程數學#118376
112年 · #118376
112年 - 112 專技高考_電機工程技師:工程數學(包括線性代數、微分方程、複變函數與機率)#117639
112年 · #117639