阿摩線上測驗
登入
首頁
>
微積分與微分方程
> 101年 - 101 高等考試_三級_核子工程:微積分與微分方程#39849
101年 - 101 高等考試_三級_核子工程:微積分與微分方程#39849
科目:
微積分與微分方程 |
年份:
101年 |
選擇題數:
0 |
申論題數:
7
試卷資訊
所屬科目:
微積分與微分方程
選擇題 (0)
申論題 (7)
一、求 y′′ − y′ = 2 sin x 之通解。(15 分)
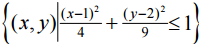
【已刪除】二、求 ∫∫
D
xdxdy , D =
(15 分)
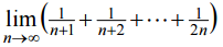
【已刪除】三、⑴若 a > 0 ,求
(15 分)
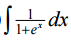
【已刪除】 ⑵求
(15 分)
四、求函數 f ( x, y ) = 4 x
2
− 6 x + y
2
− 8 y + 7 在 D = {( x, y ) | 4 x
2
+ y
2
≤ 1} 之最大值與最小值。 (20 分)
【已刪除】 ⑴
(10 分)
⑵ ∫ sin
−1
xdx (10 分)
相關試卷
111年 - 111 高等考試_三級_核子工程:微積分與微分方程#109636
111年 · #109636
108年 - 108 高等考試_三級_核子工程:微積分與微分方程#77764
108年 · #77764
107年 - 107 高等考試_三級_核子工程:微積分與微分方程#71189
107年 · #71189
106年 - 106 高等考試_三級_核子工程:微積分與微分方程#63436
106年 · #63436
105年 - 105 高等考試_三級_核子工程:微積分與微分方程#54369
105年 · #54369
104年 - 104 高等考試_三級_核子工程:微積分與微分方程#39612
104年 · #39612
103年 - 103 高等考試_三級_核子工程:微積分與微分方程#39720
103年 · #39720
102年 - 102 高等考試_三級_核子工程:微積分與微分方程#39831
102年 · #39831
100年 - 100 高等考試_三級_核子工程:微積分與微分方程#39850
100年 · #39850
99年 - 99 高等考試_三級_核子工程:微積分與微分方程#40198
99年 · #40198