阿摩線上測驗
登入
首頁
>
微積分與微分方程
> 103年 - 103 高等考試_三級_核子工程:微積分與微分方程#39720
103年 - 103 高等考試_三級_核子工程:微積分與微分方程#39720
科目:
微積分與微分方程 |
年份:
103年 |
選擇題數:
0 |
申論題數:
7
試卷資訊
所屬科目:
微積分與微分方程
選擇題 (0)
申論題 (7)
【已刪除】一、(一) 求
,m 為所有正實數。(5 分)
【已刪除】 (二)求
。(15 分)
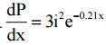
【已刪除】二、某特殊區域在海拔x處的大氣壓力
(psi/mile) 若海平面之大氣壓力為 15 psi(pound per square inch),求 P(x)。(20 分)
【已刪除】三、解
,用積分因子 (iy)
2
。(20 分)
四、求 (iy)''+ 2(iy)'+ iy- 4e
-x
ln x 的所有解 y(x) 。(20 分)
【已刪除】
五、
(一)令 F(x, y) 6ixy
2
+ (iy)
3
, G(x, y) 6ix
2
y -3ixy
2
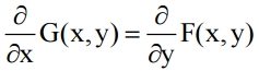
,證明滿足格林定理(Green Theorem) 的條件
。(10 分)
【已刪除】(二)用(一)求線積分
相關試卷
111年 - 111 高等考試_三級_核子工程:微積分與微分方程#109636
111年 · #109636
108年 - 108 高等考試_三級_核子工程:微積分與微分方程#77764
108年 · #77764
107年 - 107 高等考試_三級_核子工程:微積分與微分方程#71189
107年 · #71189
106年 - 106 高等考試_三級_核子工程:微積分與微分方程#63436
106年 · #63436
105年 - 105 高等考試_三級_核子工程:微積分與微分方程#54369
105年 · #54369
104年 - 104 高等考試_三級_核子工程:微積分與微分方程#39612
104年 · #39612
102年 - 102 高等考試_三級_核子工程:微積分與微分方程#39831
102年 · #39831
101年 - 101 高等考試_三級_核子工程:微積分與微分方程#39849
101年 · #39849
100年 - 100 高等考試_三級_核子工程:微積分與微分方程#39850
100年 · #39850
99年 - 99 高等考試_三級_核子工程:微積分與微分方程#40198
99年 · #40198