阿摩線上測驗
登入
首頁
>
微積分與微分方程
> 102年 - 102 高等考試_三級_核子工程:微積分與微分方程#39831
102年 - 102 高等考試_三級_核子工程:微積分與微分方程#39831
科目:
微積分與微分方程 |
年份:
102年 |
選擇題數:
0 |
申論題數:
8
試卷資訊
所屬科目:
微積分與微分方程
選擇題 (0)
申論題 (8)
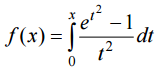
【已刪除】一、⑴設
。(10 分)
【已刪除】 ⑵設 w = f ( x, y, t ) , x = g ( y, t ) , y = h(t ) ,求
。(10 分)
【已刪除】 ⑶設
,求 f
(5)
(0) 。(10 分)
【已刪除】二、設 c
1
, c
2
, ..., c
n
為 常 且
, x
1
, x
2
, ...x
n
為正實數 。求
( 15 分)
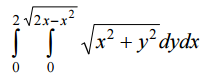
【已刪除】三、⑴求
。(10 分) \
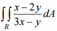
【已刪除】 ⑵求
,而 R 為直線 x − 2 y = 0 , x − 2 y = 4 , 3 x − y = 1 與 3 x − y = 8 所圍繞之 3x − y 平行四邊形。(15 分)
四、求 ( y
2
− 3x
2
)dx + 2 xydy = 0 , y |
x =1
= 0 之特解。(15 分) 1
【已刪除】五、求曲面( x = e
u − v
, y = u − 3v , z
= (u
2
+ v
2
) )在點(1, -2 ,1) 的切平面方程式。(15 分)
相關試卷
111年 - 111 高等考試_三級_核子工程:微積分與微分方程#109636
111年 · #109636
108年 - 108 高等考試_三級_核子工程:微積分與微分方程#77764
108年 · #77764
107年 - 107 高等考試_三級_核子工程:微積分與微分方程#71189
107年 · #71189
106年 - 106 高等考試_三級_核子工程:微積分與微分方程#63436
106年 · #63436
105年 - 105 高等考試_三級_核子工程:微積分與微分方程#54369
105年 · #54369
104年 - 104 高等考試_三級_核子工程:微積分與微分方程#39612
104年 · #39612
103年 - 103 高等考試_三級_核子工程:微積分與微分方程#39720
103年 · #39720
101年 - 101 高等考試_三級_核子工程:微積分與微分方程#39849
101年 · #39849
100年 - 100 高等考試_三級_核子工程:微積分與微分方程#39850
100年 · #39850
99年 - 99 高等考試_三級_核子工程:微積分與微分方程#40198
99年 · #40198