阿摩線上測驗
登入
首頁
>
微積分與微分方程
> 99年 - 99 高等考試_三級_核子工程:微積分與微分方程#40198
99年 - 99 高等考試_三級_核子工程:微積分與微分方程#40198
科目:
微積分與微分方程 |
年份:
99年 |
選擇題數:
0 |
申論題數:
5
試卷資訊
所屬科目:
微積分與微分方程
選擇題 (0)
申論題 (5)
【已刪除】一、
= homogeneous of degree zero。 求 general solution。 (20 分)
【已刪除】二、 u = u ( x, y ) = x
3
− 3 xy
2
, v = v( x, y ) = 3 x
2
y − y
3
( x, y ) = (2, 1) , (u , v) = (2, 11) , x = x(u, v) , y = y (u , v)
is the inverse function at the point (u , v) = (2, 11)
(u = 2, v = 11) = ? (20 分)
【已刪除】三、In polar coordinate r =
is an ellipse。
求
=? (20 分)
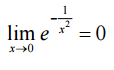
【已刪除】四、
(20 分)
【已刪除】五、
(20 分)
相關試卷
111年 - 111 高等考試_三級_核子工程:微積分與微分方程#109636
111年 · #109636
108年 - 108 高等考試_三級_核子工程:微積分與微分方程#77764
108年 · #77764
107年 - 107 高等考試_三級_核子工程:微積分與微分方程#71189
107年 · #71189
106年 - 106 高等考試_三級_核子工程:微積分與微分方程#63436
106年 · #63436
105年 - 105 高等考試_三級_核子工程:微積分與微分方程#54369
105年 · #54369
104年 - 104 高等考試_三級_核子工程:微積分與微分方程#39612
104年 · #39612
103年 - 103 高等考試_三級_核子工程:微積分與微分方程#39720
103年 · #39720
102年 - 102 高等考試_三級_核子工程:微積分與微分方程#39831
102年 · #39831
101年 - 101 高等考試_三級_核子工程:微積分與微分方程#39849
101年 · #39849
100年 - 100 高等考試_三級_核子工程:微積分與微分方程#39850
100年 · #39850