阿摩線上測驗
登入
首頁
>
微積分與微分方程
> 100年 - 100 高等考試_三級_核子工程:微積分與微分方程#39850
100年 - 100 高等考試_三級_核子工程:微積分與微分方程#39850
科目:
微積分與微分方程 |
年份:
100年 |
選擇題數:
0 |
申論題數:
6
試卷資訊
所屬科目:
微積分與微分方程
選擇題 (0)
申論題 (6)
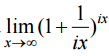
【已刪除】一、⑴令
。(10 分)
【已刪除】 ⑵求
。(15 分)
二、求 (ix)
3
y′′′ + 2ixy′ − 4iy + ix
4
= 0 (Cauchy 型)之通解。(20 分)
三、求 f ( x, y, z ) = ( x − 1)
2
+ ( y − 2)
2
+ ( z − 3)
2
在曲面 x
2
+ y
2
+ z
2
= 14 上之極大值和極小值, 用 Lagrange 法。(20 分)
四、證明圓錐曲面 z
2
= x
2
+ y
2
和球面 x
2
+ y
2
+ z
2
= 2 在每一個相交點 p( x, y,±1) 皆為正交 ( Orthogonal),也就是兩曲面在 p 點之二切面的法線( Normal Lines)為垂直。 (20 分)
【已刪除】五、令 G ( z ) = L[g ( x)] =
g ( x)dx ,求反拉氏變換
(15 分)
相關試卷
111年 - 111 高等考試_三級_核子工程:微積分與微分方程#109636
111年 · #109636
108年 - 108 高等考試_三級_核子工程:微積分與微分方程#77764
108年 · #77764
107年 - 107 高等考試_三級_核子工程:微積分與微分方程#71189
107年 · #71189
106年 - 106 高等考試_三級_核子工程:微積分與微分方程#63436
106年 · #63436
105年 - 105 高等考試_三級_核子工程:微積分與微分方程#54369
105年 · #54369
104年 - 104 高等考試_三級_核子工程:微積分與微分方程#39612
104年 · #39612
103年 - 103 高等考試_三級_核子工程:微積分與微分方程#39720
103年 · #39720
102年 - 102 高等考試_三級_核子工程:微積分與微分方程#39831
102年 · #39831
101年 - 101 高等考試_三級_核子工程:微積分與微分方程#39849
101年 · #39849
99年 - 99 高等考試_三級_核子工程:微積分與微分方程#40198
99年 · #40198