阿摩線上測驗
登入
首頁
>
教甄◆數學
> 102年 - 桃園縣、新竹縣、花蓮縣 102 年度 國民小學暨幼兒園教師 聯合甄選筆試【數學】試題 #18103
102年 - 桃園縣、新竹縣、花蓮縣 102 年度 國民小學暨幼兒園教師 聯合甄選筆試【數學】試題 #18103
科目:
教甄◆數學 |
年份:
102年 |
選擇題數:
50 |
申論題數:
0
試卷資訊
所屬科目:
教甄◆數學
選擇題 (50)
1. 將某科技大學的男女學生數以四捨五入法取概數到百位數,男生人數約 3800 人,女生人數約 2400 人,請問男女生人數最 多相差多少人? (A)1400 (B)1498 (C)1499 (D)2000
2. 設甲、乙、丙是三個有理數,已知
,請問下列敘述哪一個正確? (A)甲>乙>丙 (B)丙>乙>甲 (C)乙>丙>甲 (D)甲>丙>乙
3. 設 R 代表實數, Q 代表有理數,若
,下列敘述何者為真?
4. 設
的值中,正整數部分為 a,純小數部分為 √7 -b ,則 2a+b=? (A)12 (B)10 (C)8 (D)6
5. 一雙運動鞋若以定價的七五折出售,會賠 90 元,若改用定價的 9 折出售,則可賺 210 元,請問此雙運動鞋的成本是多少 元? (A)2000 (B)1590 (C)1410 (D)890
6. 設
,若 √3 介於
之間,則 x = ? (A)8 (B)7 (C)6 (D)5
7. 設 L
1
, L
2
, L
3
為平面上三條直線, k 為大於 0 的常數,若已知三條直線的方程式分別為, L
1
: 2x = 3y -6,L
2
: x = 3,L
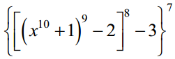
3
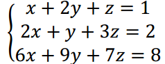
: y = k , 當三條直線所圍成的三角形面積等於 27 時,則 k = ? (A)-4 (B)-2 (C)2 (D)10
8. 有一數列
,已知
,則
的第幾項為 2/97 ? (A)47 (B)48 (C)49 (D)50
9. 如右圖,已知
,且 E、A、B、D 在一直線上,則 ∠DCE 是多少度?
(A) 120 (B) 125 (C) 130 (D) 135
10. 假設 S ,T 分別為函數 y=cos
2
x-3cosx+3的極大值與極小值,則 S + T =?
11. 方程式 x +5y +10z = 50 的正整數解共有多少組? (A)16 (B)15 (C)14 (D)13
12. 小朱家請客人來家裡玩,包括小朱全家共有 7 位男性和 9 位女性,他們相互一一握手問候,請問相同性別互相握手的
次數共有幾次? (A)29 (B) 36 (C) 49 (D) 57
13. 明星國小共有學生 1100 人,學號編排為 1 至 1100 號,某日進行作業抽查,學號為 6 的倍數的學生抽查國語習作,學號 為 10 的倍數的學生抽查數學習作,學號為 15 的倍數的學生抽查英語習作,請問被抽查到國語或數學習作,但英語習作 沒被抽查到的學生有幾人? (A)185 (B)220 (C)221 (D)257
14. 俊憲參加十八尖山登山活動,上山的時速為 2 公里,全程的平均時速為 2.4 公里,請問俊憲上山和下山的時速比是多少? (A)2:3 (B)5:1 (C)5:7 (D)10:11
15. 按照右圖數字的排法,請推算出第八行數的總和及最中間的數字所組成的數對是下列何者?
(A)(128, 50) (B)(128, 70) (C)(256, 50) (D)(256, 70)
16. 計算 2
64
((2-1)(2+1)( 2
2
+1)( 2
4
+1)……( 2
64
+1)+1)的結果,其個位數字是多少? (A) 2 (B) 4 (C) 6 (D) 8
17. 有一老翁將其遺產作如下的分配:遺產的一半捐給母校,剩下的 1/4 捐給慈善團體,其餘的以 2:3 的比例分給他的兒子 及女兒繼承。已知他的兒子分到 990 萬,則此老翁的遺產總值為多少萬? (A) 19800 (B) 6600 (C) 4400 (D) 3960
18.我們常用的十進位記數系統是每逢十就進位,因此使用 0 到 9 十個阿拉伯數字,現在想像改用六進位的記數系統,乘 法算則中的五五乘法表中,下列何者正確? (A)5 x 5=42 (B)3 x 4=12 (C)2 x 3=11 (D)4 x 5=32
19. 若 x>0,化簡
為
20. 若今日是星期日,則再過 3 天是星期三。請問再過 50
100
天是星期幾? (A)星期一 (B)星期日 (C)星期六 (D)以上皆非
21. 連接(0,0,-4)與(0,4,0)兩點的直線﹐繞 y 軸旋轉而得一直圓錐面﹐試問此錐面與平面 y=3 相交所得的圖形為 (A)一橢圓 (B)一點 (C)一雙曲線 (D)一圓
22. 求
23. 投擲兩枚骰子,兩枚骰子點數的和共有 11 種可能,請問投擲二十枚骰子,出現「點數的和」一共有幾種可能? (A)100 種 (B)101 種 (C)119 種 (D)120 種
24. 已知 log
5
(log
2
(log
3
y )) = 0,則 y
3
之值為何? (A)8 (B)125 (C)27 (D)729
25. 一個正圓錐體,底的直徑為 6,高為 3,則其側面積為多少? (A) 9π (B) 6 √3π (C) 6π (D) 9 √2π
26.
之解為 (A)27 (B)9 (C)81 (D)243
27.令
,則 q(5) = (A) 2/27 (B) 29/27 (C) 27/2 (D) 29/2
28.投擲兩個骰子,擲得兩個數字之乘積為 3 的倍數之機率為多少? (A)5/12 (B)5/9 (C)5/6 (D)17/36
29.若有一集合是從 2 到 100 的數字中選出可被表達成 x
2
卻又彼此互質的正整數所組成,問此集合中最多可有幾個元素? (A)3 (B) 4 (C) 5 (D) 6
30. 設 a , b 為實數滿足 0< a < b < 1 。請問下列何者正確 (A) - 1 < -a < -b < 0 (B) -1< -a
2
< -b
2
< 0 (C) -1 < -b < -a <0 (D) 0<b/a <1
31. 若 f (x) = x
2
- 2x +1 ,則多項式 g (x)= f (f (x)) = 除以 ( x -1) 所得的餘式為 (A)0 (B)1 (C)3 (D)5
32.如右圖所示,在梯形 ABCD 中,AB長 12 單位,BC長 13 單位,且 AD//BC,AB⊥BC, 若梯形面積為 126 平方單位,請問CD=?
(A)5 (B)10 (C)13 (D)16
33.已知 I 為∆ABC 之外心且 ∠A = 140
o
,則 ∠BIC 為幾度? (A)80 (B)40 (C)20 (D)10
34. 請問 (9999.9999)
2
的個位數字為何?(A)0 (B)8 (C)9 (D)7
35.下面的六個方格要填入數字 1~6, 對於相鄰的兩個數字必須遵守條件:「左邊小於右邊」、「上面小於下面」,而以下就是 一個例子。試問有幾種填法?
(A) 3 (B) 4 (C) 5 (D) 6
36.假設
37.下列哪一個函數圖形與 y = log
2
x 對稱於 x 軸
38.
可化簡為
39. 已知 a
,
b
,
c , 為整數且
,則序對 (a,b,c) 有幾種可能? (A)0 (B)1 (C)3 (D)6
40. 已知方程式2x
2
+2y
2
+axy-12x+12y-2k
2
-k+42=0之圖形為一圓,則下列何者錯誤? (A) a = 0 (B) k >3 / 2 (C) k < -2 (D) k < 1
41. 多項式
展開後之常數項為 (A)-32 (B)-64 (C)-128 (D)-256
42.關於聯立方程式
,考慮實數解,以下何者正確? (A)有唯一解 (B)有無限多組解 (C)有解,非唯一也非無限組 (D)無解
43.甲、乙、丙三人同時剪刀、石頭、布的遊戲一次,則只有甲獲勝的機率為多少? (A)1/3 (B)1/4 (C)1/6 (D)1/9
44.數字和 (1 +2 + 3 +.... + 10 ) + (2 + 3 + 4 + ...+ 10 ) + (3 + 4 + ....+ 10 ) +...... + ( 9+ 10 ) + (10 ) ? (A) 300 以下 (B) 300~349 (C) 350~400 (D) 400 以上
45.數字和 (1
3
+ 2
3
+ 3
3
+ ...+ 15
3
) − (1 +2 + 3 +..... + 15 )
2
? (A)0 (B)13160 (C)14400(含)以上 (D)是負的
46.假設 a
1
,a
2
, ......a
99
為等差數列且 a
50
=1 ,則此等差數列的和為 (A) 0 (B)1 (C)99 (D) 無法確定
47.數列 [ 1, 1, 2, 4, 7, 13, 24, n ] 具有某種規律,則數字 n 最可能為何? (A) 44 (B) 48 (C) 50 (D) 72
48.設 f 是一個函數,已知 f (x +5) = f (x) +6 ,且 f (5) =12 ,求 f (100) = ? (A) 138 (B) 132 (C) 126 (D) 120
49. 如下圖,某位競選人在一條主要街道上每隔 5 公尺插一根大型宣傳旗幟,整條街道共插了 100 根。競選結束後有一位清 潔工以第 30 根的地方為起點設置回收中心,想要將旗幟逐一搬運集中至此處,由於一次只能搬運一根,請計算至搬完 為止,此清潔工共須走多少公尺?
(A) 29200 (B) 14600 (C) 5840 (D) 1000
50. 已知坐標平面上有一圓 P 通過(- 2,1 ),(1,1)及( 1,-1 )三點, 求圓 P 的半徑等於多少?
申論題 (0)
相關試卷
115年 - 115-1 臺北市立南湖高級中學_正式教師甄選試題:數學科#139253
115年 · #139253
115年 - 115 國立屏東大學_各師資類科教育學程甄選試題:數學#139246
115年 · #139246
115年 - 115 臺北市立陽明高級中學正式教師甄選試題:高中數學科#139228
115年 · #139228
115年 - 115 新北市公立高級中等學校_教師聯合甄選試題:數學科#139227
115年 · #139227
115年 - 115 臺北市立內湖高級工業職業學校_正式教師甄試:數學科#139221
115年 · #139221
115年 - 115 桃園市立陽明高中_教師甄選試題:數學科#139018
115年 · #139018
115年 - 115 國立高科實驗高級中等學校_專任教師甄選_國小部:普通科(數學)#138942
115年 · #138942
115年 - 115-1 國立彰化女子高級中學_教師甄選試題:數學科#138761
115年 · #138761
115年 - 115-1 臺中市立文華高級中等學校_教師甄選專業知能試題:數學科#138727
115年 · #138727
115年 - 115-2 台北市立建國高級中學_正式教師甄選試題:數學科#138704
115年 · #138704