阿摩線上測驗
登入
首頁
>
電磁學
> 102年 - 102年升官等、102年關務人員升官等、102年交通事業郵政、港務及公路人員升資考公務薦任_電子工程#33550
102年 - 102年升官等、102年關務人員升官等、102年交通事業郵政、港務及公路人員升資考公務薦任_電子工程#33550
科目:
電磁學 |
年份:
102年 |
選擇題數:
0 |
申論題數:
7
試卷資訊
所屬科目:
電磁學
選擇題 (0)
申論題 (7)
【已刪除】⑴
(10 分)
【已刪除】⑵
(10 分)
二、一條半徑為 1cm,conductivity 為 σ 的圓柱型長導線,在其表面上鍍上一層厚度為 d, conductivity 為 2σ 的物質後,單位長度的電阻降為原來的 50%,則 d 的厚度應該為 多少 cm?(20 分)
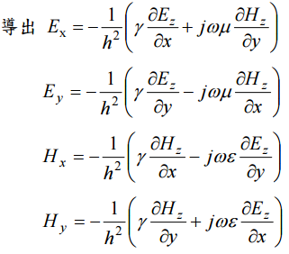
【已刪除】三、利用
,γ 為傳播常數,並且 k
2
= ω
2
με, h
2
= γ
2
+ k
2
(20 分)
【已刪除】四、xy 平面上有一半徑為 b 的圓形迴路,攜帶電流 I,且圓心為座標軸的原點,計算 (0,0,b)的磁通量密度
為何?(20 分)
⑴負載端之反射係數Γ=? (10 分)
⑵負載阻抗Z
L
=? (10 分)
相關試卷
115年 - 115 身心障礙特種考試_三等_電子工程:電磁學#138984
115年 · #138984
114年 - 114 地方政府公務特種考試_三等_電子工程、電信工程:電磁學#134740
114年 · #134740
114年 - 114 公務升官等考試_薦任_電子工程、電信工程:電磁學#133233
114年 · #133233
114年 - 114 高等考試_三級_電子工程、電信工程:電磁學#128778
114年 · #128778
113年 - 113 地方政府公務特種考試_三等_電子工程:電磁學#124547
113年 · #124547
113年 - 113 高等考試_三級_電子工程、電信工程:電磁學#121507
113年 · #121507
112年 - 112 地方政府特種考試_三等_電子工程:電磁學#118373
112年 · #118373
112年 - 112 公務升官等考試_薦任_電子工程、電信工程:電磁學#117309
112年 · #117309
112年 - 112 高等考試_三級_電子工程、電信工程:電磁學#115766
112年 · #115766
111年 - 111 地方政府特種考試_三等_電子工程:電磁學#112356
111年 · #112356