所屬科目:數學
2.擲兩粒公正骰子,點數和大於 8 的機率為 (A) (B) (C) (D) 。
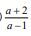
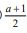
5.若 log312=a,則 log936= (A) (B) (C) (D) 。
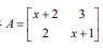
6.若 x 為正數,且二階方陣沒有反方陣,則 x 的值為 (A) 1 (B) 3 (C) 5 (D)
7.直線 與下列哪一個平面平行? (A) (B) (C) (D)
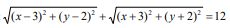
8.已知橢圓 : ,則橢圓的中心坐標為何? (A) (3 , 2) (B) (- 3 , - 2) (C) (12 , 0) (D) (0 , 0)
9.如右圖,ABCD 為正立方體的一面,P , Q 分別為的中點,O 為正立方體的中心, 則cos(∠POQ) = (A) (B) (C) (D)
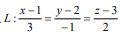
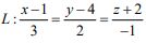
11.下列各點何者不是空間中直線 上的點 ? (A)(1,4,-2) (B)(4,6,0) (C)(-2,2,-1) (D)(7,8,-4)
3.若 ,則 x = ______ 。
5.在= ______
6.設θ 為一銳角,且=______
8.在 ,則△ABC的面積為 ______
10.一圓的圓心為(2,1),半徑為 3,則此圓方程式為 之值 = ______