阿摩線上測驗
登入
首頁
>
地球物理數學
> 102年 - 102 高等考試_三級_地震測報:地球物理數學#44071
102年 - 102 高等考試_三級_地震測報:地球物理數學#44071
科目:
地球物理數學 |
年份:
102年 |
選擇題數:
0 |
申論題數:
9
試卷資訊
所屬科目:
地球物理數學
選擇題 (0)
申論題 (9)
⑴求此級數之中心(center of the series)。(5 分)
⑵求此級數之收斂區間(region of convergence)。(10 分)
【已刪除】二、若 φ ( x, y, z ) = xy
2
+ z ,則在方向
上之點(-2, 1, 3), φ 的梯度為何? (15 分)
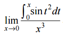
【已刪除】三、求
之極值(limit)。(15 分)
【已刪除】四、已知 z
1
= 1 − i , z
2
= −2 + 4i , z
3
= √3 − 2i ,求
。(15 分)
【已刪除】 ⑴
。(10 分)
【已刪除】 ⑵
。(10 分)
⑴請問此球座標偏微分方程是什麼方程式?(寫出名稱即可,例如 Laplace’s equation, Poisson’s equation, …)(10 分)
⑵寫出卡氏座標(Cartesian coordinates)之 Laplacian。(10 分)
相關試卷
113年 - 113 高等考試_三級_地震測報:地球物理數學#121520
113年 · #121520
113年 - 113 普通考試_地震測報:地球物理數學概要#121515
113年 · #121515
110年 - 110 普通考試_地震測報:地球物理數學概要#102209
110年 · #102209
109年 - 109 普通考試_地震測報:地球物理數學概要#88487
109年 · #88487
108年 - 108 普通考試_地震測報:地球物理數學概要#77608
108年 · #77608
107年 - 107 普通考試_地震測報:地球物理數學概要#70667
107年 · #70667
104年 - 104 普通考試_地震測報:地球物理數學概要#42834
104年 · #42834
103年 - 103 普通考試_地震測報:地球物理數學概要#43458
103年 · #43458
102年 - 102 普通考試_地震測報:地球物理數學概要#44281
102年 · #44281
100年 - 100 普通考試_地震測報:地球物理數學概要#45537
100年 · #45537