阿摩線上測驗
登入
首頁
>
地球物理數學
>
102年 - 102 高等考試_三級_地震測報:地球物理數學#44071
> 申論題
題組內容
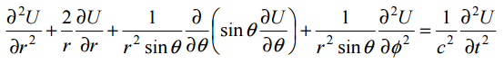
六、一球座標之偏微分方程式如下:
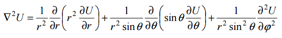
而球座標之 Laplacian 為:
⑵寫出卡氏座標(Cartesian coordinates)之 Laplacian。(10 分)
相關申論題
⑴求此級數之中心(center of the series)。(5 分)
#143933
⑵求此級數之收斂區間(region of convergence)。(10 分)
#143934
⑴請問此球座標偏微分方程是什麼方程式?(寫出名稱即可,例如 Laplace’s equation, Poisson’s equation, …)(10 分)
#143940
(三)若原時間序列 S 逆時鐘旋轉的角度為 ,則 S ′為何?(5 分)
#517783
(二)若新時間序列 S ′為逆時鐘旋轉(旋轉角度為∅)原時間序列 S 所形成, 則 S ′為何?時間序列 S ′與 S 的關係式為何?(5 分)
#517782
(一)若時間序列 S 的振幅為 ,則 S 為何?(5 分)
#517781
五、若取樣時間間隔為1,則時間序列 a = (1, 0.6, -0.4, 0.2, -0.1)與 b = (1, -0.2)的摺積( Convolution)為何 ?( 15 分 )離散式摺積
#517780
(三)從上述垂直應力與剪切應力的正規化特徵向量,得到主應力的旋轉矩陣。 (10 分)
#517779
(二)從上述 3×3 矩陣的特徵值,得到垂直應力與剪切應力的主應力。 (5 分)
#517778
(一)以 3×3 矩陣呈現上述垂直應力與剪切應力。(5 分)
#517777
相關試卷
113年 - 113 高等考試_三級_地震測報:地球物理數學#121520
113年 · #121520
113年 - 113 普通考試_地震測報:地球物理數學概要#121515
113年 · #121515
110年 - 110 普通考試_地震測報:地球物理數學概要#102209
110年 · #102209
109年 - 109 普通考試_地震測報:地球物理數學概要#88487
109年 · #88487
108年 - 108 普通考試_地震測報:地球物理數學概要#77608
108年 · #77608
107年 - 107 普通考試_地震測報:地球物理數學概要#70667
107年 · #70667
104年 - 104 普通考試_地震測報:地球物理數學概要#42834
104年 · #42834
103年 - 103 普通考試_地震測報:地球物理數學概要#43458
103年 · #43458
102年 - 102 普通考試_地震測報:地球物理數學概要#44281
102年 · #44281
102年 - 102 高等考試_三級_地震測報:地球物理數學#44071
102年 · #44071