所屬科目:地球物理數學
一、若海嘯動能 MV2/2=ρ A h V2/2,其中ρ :海水密度,A:海水截面積,h:水深,V:海嘯傳送速度。若重力波作功 引發 h 海嘯,其中 g:重力加速度。海嘯傳送速度為何?(10 分)
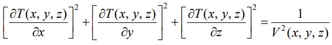
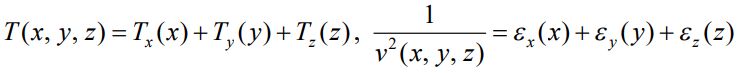
二、以分離變數法求解下列的程函方程式(Eikonal Equation) 。(20 分) 可設定
三、直線方程式 di = m1 + m2 zi,其中 m1:直線截距,m2:直線斜率。 若為觀測值,則其誤差平方的總和為 ,其中 N 為觀測值的總數。使用誤差平方總和最小化,以計算直線截距(m1)與直線斜率(m2)。(20 分)
五、若取樣時間間隔為1,則時間序列 a = (1, 0.6, -0.4, 0.2, -0.1)與 b = (1, -0.2)的摺積( Convolution)為何 ?( 15 分 )離散式摺積
(一)若時間序列 S 的振幅為 ,則 S 為何?(5 分)
(三)若原時間序列 S 逆時鐘旋轉的角度為 ,則 S ′為何?(5 分)