阿摩線上測驗
登入
首頁
>
地球物理數學
>
113年 - 113 高等考試_三級_地震測報:地球物理數學#121520
> 申論題
題組內容
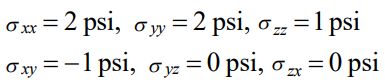
四、在 x, y, z 平面的垂直應力與剪切應力皆對稱,且為
(二)從上述 3×3 矩陣的特徵值,得到垂直應力與剪切應力的主應力。 (5 分)
相關申論題
一、若海嘯動能 MV2/2=ρ A h V2/2,其中ρ :海水密度,A:海水截面積,h:水深,V:海嘯傳送速度。若重力波作功 引發 h 海嘯,其中 g:重力加速度。海嘯傳送速度為何?(10 分)
#517774
二、以分離變數法求解下列的程函方程式(Eikonal Equation) 。(20 分) 可設定
#517775
三、直線方程式 di = m1 + m2 zi,其中 m1:直線截距,m2:直線斜率。 若為觀測值,則其誤差平方的總和為 ,其中 N 為觀測值的總數。使用誤差平方總和最小化,以計算直線截距(m1)與直線斜率(m2)。(20 分)
#517776
(一)以 3×3 矩陣呈現上述垂直應力與剪切應力。(5 分)
#517777
(三)從上述垂直應力與剪切應力的正規化特徵向量,得到主應力的旋轉矩陣。 (10 分)
#517779
五、若取樣時間間隔為1,則時間序列 a = (1, 0.6, -0.4, 0.2, -0.1)與 b = (1, -0.2)的摺積( Convolution)為何 ?( 15 分 )離散式摺積
#517780
(一)若時間序列 S 的振幅為 ,則 S 為何?(5 分)
#517781
(二)若新時間序列 S ′為逆時鐘旋轉(旋轉角度為∅)原時間序列 S 所形成, 則 S ′為何?時間序列 S ′與 S 的關係式為何?(5 分)
#517782
(三)若原時間序列 S 逆時鐘旋轉的角度為 ,則 S ′為何?(5 分)
#517783
五、複數,則未知數x為何?(10 分)
#517728
相關試卷
113年 - 113 高等考試_三級_地震測報:地球物理數學#121520
113年 · #121520
113年 - 113 普通考試_地震測報:地球物理數學概要#121515
113年 · #121515
110年 - 110 普通考試_地震測報:地球物理數學概要#102209
110年 · #102209
109年 - 109 普通考試_地震測報:地球物理數學概要#88487
109年 · #88487
108年 - 108 普通考試_地震測報:地球物理數學概要#77608
108年 · #77608
107年 - 107 普通考試_地震測報:地球物理數學概要#70667
107年 · #70667
104年 - 104 普通考試_地震測報:地球物理數學概要#42834
104年 · #42834
103年 - 103 普通考試_地震測報:地球物理數學概要#43458
103年 · #43458
102年 - 102 普通考試_地震測報:地球物理數學概要#44281
102年 · #44281
102年 - 102 高等考試_三級_地震測報:地球物理數學#44071
102年 · #44071