阿摩線上測驗
登入
首頁
>
工程數學(應用數學, 線性代數、微分方程、複變函數與機率)
> 103年 - 103 國家安全情報特種考試_三等_電子組:工程數學#34963
103年 - 103 國家安全情報特種考試_三等_電子組:工程數學#34963
科目:
工程數學(應用數學, 線性代數、微分方程、複變函數與機率) |
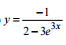
年份:
103年 |
選擇題數:
20 |
申論題數:
7
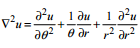
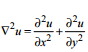
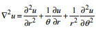
試卷資訊
所屬科目:
工程數學(應用數學, 線性代數、微分方程、複變函數與機率)
選擇題 (20)
1假設 z(x, y) = 3000 − x
2
− 9y
2
是一座山距離海平面的高度,試問在點 P(4, 1)的位置,往那一個方向具有最 陡峭的高度變化? (A) [-1.-2.25] (B)[ −1,2.25] (C)[ − 8,18] (D)[ 8,18]
2 若 F, G, H 為向量,α 為純量,有關外積(Cross Product)的性質,何者錯誤? (A) F× G = G × F (B) F × G 與 G, F 均正交(Orthogonal) (C) F × (G + H) = F × G + F × H (D)α (G × H) = (α G) × H
3 F = [ − y,−xy ] ,C 為下圖所示從 A 至 B 的圓弧,其線
,則下列何者屬實? (A) α + b =1 (B)α + b = 7 (C)α + b = −1 (D) α + b = −7
4 若
, 計算
各為何? (A)
(B)
(C)
(D)
5 對於矩陣特徵問題 AX = λX,得到特徵值 λ為實數的充分條件為何? (A) A 是對稱(symmetric)矩陣 (B) A 是正交(orthogonal)矩陣 (C) A 是 Hermitian 矩陣 (D) A 是 Skew-Hermitian 矩陣
6 令
,求跡數(trace)tr (AB) =? (A)290(B)284 (C) 280 (D) 286
7 下列何者
R 為線性轉換函式? (A)T(x, y) = (x + y, 3y) (B)T(x, y) = (2x −1, 3y +1) (C) T =(x
2
,3y+2) (D)T(x, y) = (2, 3)
8 設矩陣
A,則 A
3
-8A
2
+15A 為何? (A) 0 (B) A (C) 3A (D) 5A
9 下列選項何者為
的一解?(註:
) (A) z =1+ i (1/3)π (B) z =1+ i (1/ 6)π (C) z = ln(2) + i (4/3)π (D) z = ln(2) + i(7 /3)π
10 令
為一複數冪級數(complex power series),且已知其在 z = 3+ 4i 時為收斂,則下列敘述何者為 正確?(註:
) (A)對所有實部小於 3 的複數 z,此複數冪級數為收斂 (B)對所有虛部小於 4 的複數 z,此複數冪級數為收斂 (C)對所有 z < 5 的複數 z,此複數冪級數為收斂 (D)對所有 z ≤ 5 的複數 z,此複數冪級數為收斂
11 求
對中心點 x0 = −2 的泰勒展開級數(Taylor expansion series)的收斂半徑? (A) 0 (B) 1 (C)
(D)∞
12 x
2
y′ + y
2
= xy,則 y =? (A)
(B)
(C)
(D)
13 求解 3
, y(0) =1 (A)
(B)
(C)
(D)
14 若函數
為 f (t)之傅立葉轉換,下列何者正確? (A)
(B)
(C)
(D)
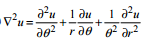
15 定義
,極座標轉換 x = r cosθ , y = rsinθ ,則下列何者正確? (A)
(B)
(C)
(D)
16 下列何者不可能是 x
2
y′′ + Axy′ + By = 0的解?其中 A 和 B 為常數。 (A)x
2
cos(3ln(x ))(B)x
2
ln(2x) (C)e
2
+ x (D) e
2x
17 下列何者之拉普拉斯轉換(Laplace transform)不存在? (A) e
3t
(B)
(C) e
88
(D)cost
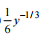
18 假設 X 為連續型隨機變數,具有機率密度函數(probability density function)
, 試求Y = 8X
3
在0 < y < 8 之機率密度函數 f ( y) Y 為何? (A)
(B)
(C)
(D)
19 有 200 位成人中其性別和教育程度的情形如下:
假設從這200 位成人中隨機挑選 1 人,已知此人是女性,請問此人沒有大學教育程度的機率為何? (A) 17/200 (B) 17/112 (C) 95/112 (D) 95/200
20 假設兩個隨機變數 X 和 Y 的結合機率密度函數( joint probability density function ) 為
,試問 P(X ≥ 0.5) =? (A) 5/16 (B) 3/5 (C) 2/3 (D) 1/8
申論題 (7)
(1) Q 為那一種圓錐曲線?(2 分)
(2)求 Q 的正交主軸轉換矩陣(Orthogonal Principal Axes Transformation Matrix)。 (8 分)
【已刪除】二、求解
,其中
。(15 分)
三、求1+
i
的四次方根。(10 分)
(1) c =?(5 分)
(2)X 之邊際機率密度函數(Marginal probability density function)fX (x) =?(5 分)
(3)Y 之邊際機率密度函數(Marginal probability density function)f
Y
( y) =?(5 分)
相關試卷
114年 - 114 專技高考_電機工程技師:工程數學(包括線性代數、微分方程、複變函數與機率)#133679
114年 · #133679
114年 - 114 專技高考_電子工程技師:工程數學(包括線性代數、微分方程、向量分析、複變函數與機率)#133677
114年 · #133677
114年 - 114 調查特種考試_三等_電子科學組:工程數學#129578
114年 · #129578
114年 - 114 國家安全情報特種考試_三等_電子組(選試英文):工程數學#127780
114年 · #127780
113年 - 113 專技高考_電子工程技師:工程數學(包括線性代數、微分方程、向量分析、複變函數與機率)#123976
113年 · #123976
113年 - 113 專技高考_電機工程技師:工程數學(包括線性代數、微分方程、複變函數與機率)#123971
113年 · #123971
113年 - 113 調查特種考試_三等_電子科學組:工程數學#122110
113年 · #122110
113年 - 113 身心障礙特種考試_三等_電力工程:工程數學#119517
113年 · #119517
112年 - 112 地方政府特種考試_三等_電力工程、電子工程:工程數學#118376
112年 · #118376
112年 - 112 專技高考_電機工程技師:工程數學(包括線性代數、微分方程、複變函數與機率)#117639
112年 · #117639