所屬科目:專科學力鑑定◆專(一):微積分
2. 已知 =? (A) (B) (C) (D)
3. 已知,下列何者正確? (A) 只有2個臨界點,分別為 x = -1, x =1 (B) 只有3個臨界點,分別為 x = -1, x =1, x = 0 (C) f (1) 為相對極大值 (D) 沒有相對極小值
4. 已知 a >1 且 b >1 ,求 =? (A) ln(a - b) (B) a - b (C) 1 (D)
5. 若且 f 為連續函數,求 之值。 (A) e (B) (C) (D) 1
6. 求 = ? (A) (B) ln(e + 3) (C) ln(e + 4) (D)
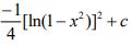
7. 求 =? (A) (B) (C) (D)
8. 由拋物線 , y =1 與 x =1 所圍成之區域,繞直線 x =1 旋轉所得實體之體積為何? (A) (B) (C) (D) π
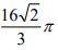
9. 求極座標方程式 之曲線長。 (A) (B) (C) (D)
10. 已知圓柱體底半徑為2,高為1。若點 p 之密度與由 p 點到圓柱體之軸的距離成正比(比值為1), 求其質量。 (A) (B) (C) (D)
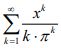
11. 求冪級數 的收斂區間。 (A) [-π,π] (B) [-π,π) (C) (-π,π] (D) (-π,π)
12. 若 ,則 f y (2,1) =? (A) 1 (B) ln 2 (C) 2 (D) 2ln 2
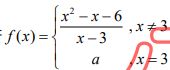
13. 若 在 x = 3 處連續,則 a =? (A) 0 (B) 1 (C) 3 (D) 5
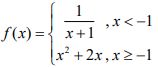
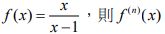
14. 若,則 f '(2) =? (A) (B) (C) (D)
15. 若利用三角代換,令可化成下列何者?
(A) (B) (C) (D)
16. 若=? (A) 1 (B) 2 (C) 3 (D) 4
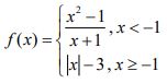
17. 有關的圖形敘述下列何者錯誤?
(A) f (x) 在區間 (-1,1) 為遞減 (B)為相對極大值 (C) f (x) 在區間 (0,∞) 為向下凹 (D) (0, f (0)) = (0,0) 為反曲點
18. 拋物線 y = x2 - x 與直線 y = x + 3 所圍成的面積為何? (A) (B) (C) (D)
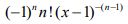
19. 求三瓣玫瑰線 r = 2sin3Θ 所圍成的面積為何? (A) π (B) (C) (D)
20. 若 ,則 a3 =? (A) (B) (C) (D)
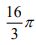
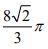
22. 求 ? (A) 16 (B) 12 (C) 6 (D) 3
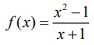
23. 求曲線 在點 (2,1) 處的切線斜率為何? (A) 3 (B) (C) (D) 5
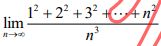
25. 求 =? (A) 0 (B) (C) (D)