阿摩線上測驗
登入
首頁
>
通信系統
> 105年 - 105年地方四等-通信系統概要#58415
105年 - 105年地方四等-通信系統概要#58415
科目:
通信系統 |
年份:
105年 |
選擇題數:
0 |
申論題數:
11
試卷資訊
所屬科目:
通信系統
選擇題 (0)
申論題 (11)
【已刪除】⑴
。(10 分)
【已刪除】⑵
。(10 分)
【已刪除】⑴試求
與m(t)和m
p
的關係,其中m
p
為 |m(t)| 的最大值,並說明確保接收器可採 用封包檢測器(Envelope detector)的條件為何?(10 分)
⑵試以相位鑑別方法(Phase discrimination scheme)產生單邊帶(Single side-band; SSB)調變訊號s(t),並以m(t)及其希爾伯特(Hilbert)轉換對應式表示。(10 分)
⑴試求頻率偏移Δf 和調變指數(modulation index)β ?(10 分)
⑵類比窄頻調頻(narrowband FM)調變為當β << 1時,試以⑴中參數等寫出s(t)的簡 化式?(10 分)
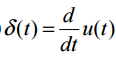
⑴試證明Y(ω) = X (ω)H(ω),Y(ω)為 y(t)的傅立葉轉換(Fourier transform)。(8 分)
⑵若假設x(t)與 y(t)皆為波段穿越信號(band-pass signal)而h(t)為波段穿越系統,如 果x
l
(t) 與h
l
(t) 分別為其對應的複數低通等效訊號,試以低通等效訊號來實現求得 y(t)?(7 分)
五、請說明開放系統連接(Open Systems Interconnection)協定架構中,數據通訊(Data communication)所含之(下面)三層為何?(10 分)
⑴試求| H( f ) |的 3dB 頻寬值B
3dB
?(8 分)
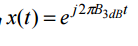
【已刪除】⑵如果輸入訊號為
,試求 y(t)?(7 分)
相關試卷
114年 - 114 地方政府公務特種考試_四等_電信工程:通信系統概要#134755
114年 · #134755
114年 - 114 地方政府公務特種考試_三等_電信工程:通信與系統#134723
114年 · #134723
114年 - 114 公務升官等考試_薦任_電信工程:通信與系統#133270
114年 · #133270
114年 - 114 調查特種考試_三等_電子科學組:通信與系統#129592
114年 · #129592
114年 - 114 高等考試_三級_電信工程:通信與系統#128757
114年 · #128757
114年 - 114 普通考試_電信工程:通信系統概要#128733
114年 · #128733
113年 - 113 地方政府公務特種考試_四等_電信工程:通信系統概要#124540
113年 · #124540
113年 - 113 調查特種考試_三等_電子科學組:通信與系統#122111
113年 · #122111
113年 - 113 普通考試_電信工程:通信系統概要#121514
113年 · #121514
113年 - 113 高等考試_三級_電信工程:通信與系統#121501
113年 · #121501