阿摩線上測驗
登入
首頁
>
高中(學測,指考)◆數學
> 105年 - 105 大學入學考試中心_學科能力測驗:數學#40169
105年 - 105 大學入學考試中心_學科能力測驗:數學#40169
科目:
高中(學測,指考)◆數學 |
年份:
105年 |
選擇題數:
31 |
申論題數:
0
試卷資訊
所屬科目:
高中(學測,指考)◆數學
選擇題 (31)
1. 設 f ( x ) 為 二 次 實 係 數 多 項 式,已 知 f ( x ) 在 x = 2 時有最小值 1 且 f (3) = 3 。請 問 f (1) 之值為下列哪一選項? (A) 5 (B) 2 (C) 3 (D) 4 (E) 條件不足,無法確定
2. 請 問 sin 73°、 sin146°、 sin 219°、 sin 292°、 sin 365° 這五個數值的中位數是哪一個? (A) sin 73° (B) sin146° (C) sin 219° (D) sin 292° (E) sin 365°
3. 坐標平面上兩圖形 Γ1 ,Γ2 的方程式分別為: Γ
1
: (x+1)
2
+y
2
=1 , Γ
2
:(x+y)
2
=1 。請問 Γ1 ,Γ2共有幾個交點? (A) 1 個 (B) 2 個 (C) 3 個 (D) 4 個 (E) 0 個
4. 放射性物質的半衰期 T 定義為每經過時間 T ,該物質的質量會衰退成原來的一 半。鉛製容器中有兩種放射性物質 A、 B ,開始紀錄時容器中物質 A的質量為 物 質 B 的 兩 倍,而 120 小 時 後 兩 種 物 質 的 質 量 相 同。已 知 物 質 A的半衰期為 7.5 小時,請問物質 B 的半衰期為幾小時? (A) 8 小 時 (B) 10 小 時 (C) 12 小 時 (D) 15 小 時 (E) 20 小 時
5. 坐標空間中一質點自點 P(1,1,1) 沿著方向
= (1,2,2) 等速直線前進,經過 5 秒後剛 好到達平面 x-y +3z = 28上,立 即 轉 向 沿 著 方 向
= ( -2,2, -1) 依同樣的速率等速直 線前進。請問再經過幾秒此質點會剛好到達平面 x = 2 上 ? (A) 1 秒 (B) 2 秒 (C) 3 秒 (D) 4 秒 (E) 永遠不會到達
6. 設 <a
n
> 為一等比數列。已知前十項的和為
,前五個奇數項的和為 a
1
+a
3
+a
5
+a
7
+a
9
=120,請選出首項 a
1
的正確範圍。 (A) a
1
< 80 (B)80≦a
1
<90(C)90≦a
1
<100(D)100≦a
1
< 110 (E)110≦a
1
複選題
7. 下列各方程式中,請選出有實數解的選項。 (A)|x|+|x-5|=1 (B)|x|+|x-5|=6 (C) |x|-|x-5|=1 (D) |x|-|x-5|=6 (E) |x|-|x-5|=-1
複選題
8. 下面是甲、乙兩個商場的奇異果以及蘋果不同包裝的價格表,例如:
甲商場
奇異果價格「 35 元 /一 袋 2 顆」表示每一袋有 2 顆奇異果,價格 35 元 。
甲商場
乙商場
依據上述數據,請選出正確的選項。 (A) 在甲商場買一袋 3 顆裝的蘋果所需金額低於買三袋 1 顆裝的蘋果 (B) 乙商場的奇異果售價,一袋裝越多顆者,其每顆單價越低 (C) 若只想買奇異果,則在甲商場花 500 元最多可以買到 30 顆奇異果 (D) 如果要買 12 顆奇異果和 4 顆蘋果,在甲商場所需最少金額低於在乙商場 所需最少金額 (E) 無論要買多少顆蘋果,在甲商場所需最少金額都低於在乙商場所需最少 金 額
複選題
9. 下列各直線中,請選出和 z 軸互為歪斜線的選項。 (A)
(B)
(C)
(D)
(E)
複選題
10. 設 a 、 b、 c 皆為正整數,考慮多項式 f(x) = x
4
+ax
3
+bx
2
+cx+2 。請選出正確的選 項 。 (A) f (x) = 0無正根 (B) f (x) =0 一定有實根 (C) f (x) =0 一定有虛根 (D) f (1)+f(-1) 的值是偶數 (E) 若 a+c >b+ 3, 則 f (x) =0 有一根介於 -1與 0 之 間
複選題
11. 一 個 41 人 的 班 級 某 次 數 學 考 試,每 個 人 的 成 績 都 未 超 過 59 分。老 師 決 定 以 下 列方式調 整成績:原始成績 為 x分的學 生,新成 績調整為
分( 四 捨五入到整數)。請選出正確的選項。 (A) 若某人原始成績是 9 分,則新成績為 60 分 (B) 若某人原始成績超過 20 分,則其新成績超過 70 分 (C) 調整後全班成績的全距比原始成績的全距大 (D) 已知小文的原始成績恰等於全班原始成績的中位數,則小文的新成績仍 然等於調整後全班成績的中位數 (E) 已知小美的原始成績恰等於全班原始成績的平均,則小美的新成績仍然 等於調整後全班成績的平均(四捨五入到整數)
複選題
12. 在 △ABC 中,已知 ∠A = ° 20 、 AB = 5、 BC = 4。請選出正確的選項。 (A) 可以確定 ∠B 的餘弦值 (B) 可以確定 ∠C 的正弦值 (C) 可以確定 △ABC 的面積 (D) 可以確定 △ABC 的內切圓半徑 (E) 可以確定 △ABC 的外接圓半徑
複選題
13. 甲、乙、丙、丁四位男生各騎一台機車約 A、 B、 C 、 D 四位女生一起出遊, 他們約定讓四位女生依照 A、 B、 C 、 D 的順序抽鑰匙來決定搭乘哪位男生的 機車。其中除了 B認得甲的機車鑰匙,並且絕對不會選取之外,每個女生選取 這些鑰匙的機會都均等。請選出正確的選項。 (A) A抽到甲的鑰匙的機率大於 C 抽到甲的鑰匙的機率 (B) C 抽到甲的鑰匙的機率大於 D 抽到甲的鑰匙的機率 (C) A抽到乙的鑰匙的機率大於 B抽到乙的鑰匙的機率 (D) B抽到丙的鑰匙的機率大於 C 抽到丙的鑰匙的機率 (E) C 抽到甲的鑰匙的機率大於 C 抽到乙的鑰匙的機率
複選題
14 (AB)1(AC)2(AD)3(AE)4(BC)5(BD)6(BE)7(CD)8(CE)9(DE)0
複選題
15(AB)1(AC)2(AD)3(AE)4(BC)5(BD)6(BE)7(CD)8(CE)9(DE)0
複選題
16 (AB)1(AC)2(AD)3(AE)4(BC)5(BD)6(BE)7(CD)8(CE)9(DE)0
複選題
17 (AB)1(AC)2(AD)3(AE)4(BC)5(BD)6(BE)7(CD)8(CE)9(DE)0
複選題
18 (AB)1(AC)2(AD)3(AE)4(BC)5(BD)6(BE)7(CD)8(CE)9(DE)0
複選題
19 (AB)1(AC)2(AD)3(AE)4(BC)5(BD)6(BE)7(CD)8(CE)9(DE)0
複選題
20 (AB)1(AC)2(AD)3(AE)4(BC)5(BD)6(BE)7(CD)8(CE)9(DE)0
複選題
21 (AB)1(AC)2(AD)3(AE)4(BC)5(BD)6(BE)7(CD)8(CE)9(DE)0
複選題
22 (AB)1(AC)2(AD)3(AE)4(BC)5(BD)6(BE)7(CD)8(CE)9(DE)0
複選題
23 (AB)1(AC)2(AD)3(AE)4(BC)5(BD)6(BE)7(CD)8(CE)9(DE)0(ABC)-
複選題
24 (AB)1(AC)2(AD)3(AE)4(BC)5(BD)6(BE)7(CD)8(CE)9(DE)0
複選題
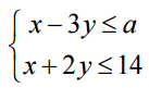
E. 設 a 為 一 實 數,已 知 在 第 一 象 限 滿 足 聯 立 不 等 式
的所有點所形成之區 域面積為 213/5 平方單位,則 a =______ 。 (AB)1(AC)2(AD)3(AE)4(BC)5(BD)6(BE)7(CD)8(CE)9(DE)0
複選題
26 (AB)1(AC)2(AD)3(AE)4(BC)5(BD)6(BE)7(CD)8(CE)9(DE)0
複選題
27(AB)1(AC)2(AD)3(AE)4(BC)5(BD)6(BE)7(CD)8(CE)9(DE)0
複選題
28(AB)1(AC)2(AD)3(AE)4(BC)5(BD)6(BE)7(CD)8(CE)9(DE)0
複選題
29(AB)1(AC)2(AD)3(AE)4(BC)5(BD)6(BE)7(CD)8(CE)9(DE)0
複選題
30(AB)1(AC)2(AD)3(AE)4(BC)5(BD)6(BE)7(CD)8(CE)9(DE)0
複選題
31(AB)1(AC)2(AD)3(AE)4(BC)5(BD)6(BE)7(CD)8(CE)9(DE)0
申論題 (0)
相關試卷
115年 - 115 財團法人大學入學考試中心基金會_學科能力測驗試題:數學B#137079
115年 · #137079
115年 - 115 財團法人大學入學考試中心基金會_學科能力測驗試題:數學A#137066
115年 · #137066
114年 - 114 財團法人大學入學考試中心基金會_學科能力測驗試題:數學B#125190
114年 · #125190
114年 - 114 財團法人大學入學考試中心基金會_學科能力測驗試題:數學A#125189
114年 · #125189
113年 - 113 北北基高級中等學校_學科能力測驗聯合模擬考試:數學#123743
113年 · #123743
113年 - 113 大學入學考試中心_學科能力測驗:數學A#118746
113年 · #118746
113年 - 113 大學入學考試中心_學科能力測驗:數學B#118743
113年 · #118743
112年 - 112 大學入學考試中心_學科能力測驗:數學A#113017
112年 · #113017
112年 - 112 大學入學考試中心_學科能力測驗:數學B#112994
112年 · #112994
111年 - 111 大學入學考試中心_學科能力測驗:數學B#105931
111年 · #105931