所屬科目:高中(學測,指考)◆數學
1. 財神廟舉辦抽發財金活動:參加者抽兩次籤,每次抽籤出現「吉」、「祥」的機率皆為 。 如果兩次都抽得「吉」,獲得獎金 180 元;如果兩次都抽得「祥」,獲得獎金 90 元; 其餘情況則無獎金。試問參加者可獲獎金的期望值為何? (A) 20 元 (B) 30 元 (C) 45 元 (D) 60 元 (E) 90 元
2. 對任一實數 a,令 [a] 代表滿足 [a]≤a< [a]+1的整數,例如:[3]=3 ,[3.1]=3,[- 3.1]=-4。關於函數 f (x) =,其中-99≤x≤99 ;試選出正確的選項。(A) (B) (C)(D) (E)
3. 設 f(x)=ax ,其中 a 為正實數。已知c1,c2,c3是公差為的等差數列,且 f (c1 ),f(c2 ), f( c3)是公比為 4 的等比數列。則等比數列 f (10), f(8), f(6)的公比為何?(A)(B)(C)(D)(E)
4. 某網遊有 16 種材料,其中 6 種為基本材料,10 種為進階材料。任選 3 種不同材料可以合成出草藥、食物、藥水中的 1 類道具,其合成規則如下:若 3 種材料均為基本材料, 則合成結果必為同一種草藥;若 3 種材料中 2 種為基本材料、1 種為進階材料,則合成結果會根據不同的進階材料得到不同種的食物,但不會受到基本材料不同而改變;其他的組合都會合成出不同種的藥水。試問此網遊總共可合成出多少種道具? (A) 256 (B) 370 (C) 401 (D) 455 (E) 560
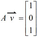
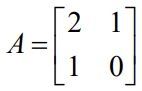
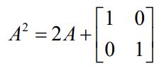
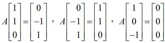
5. 已知實數三階方陣 A滿足。試問有多少個行向量滿足 且垂直於行向量?(A) 1 個 (B) 2 個 (C) 3 個 (D) 0 個 (E) 無窮多個
6. 坐標平面上有 A(2, -2), B(-1,2) 兩點,試問直線 y =-6上有多少個點 C 使得△ABC 為等腰三角形?(A) 1 (B) 2 (C) 3 (D) 4 (E) 5
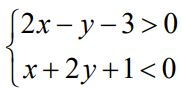
7. 坐標平面上同時滿的點 P ( x,y) 可能位在下列哪些選項?(A) 第一象限(B) 第二象限(C) 第三象限(D) 第四象限(E) x軸
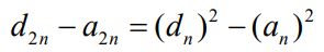
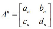
8. 已知 ,且對所有正整數 n≥2 ,令 。試選出正確的選項。(A) b2<c2(B) (C) (D)(E)
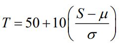
9. T 分數為評量成績的一種方式,其計算方式如下:設全班平均成績為μ 且標準差為σ。 若某生原始成績為 S,則他該科之 T 分數為 已知某班期末數學和 英文兩科的平均成績皆為 60,數學成績的標準差為 12,英文成績的標準差為 8。試選出正確的選項。 (A) 若甲生英文的原始成績為 52,則其 T 分數為 40 (B) 各生數學的 T 分數不會超過其原始成績 (C) 若乙生兩科的原始成績平均比丙生兩科的原始成績平均高,則乙生兩科的 T 分數 平均比丙生兩科的 T 分數平均高 (D) 若該班級兩科的及格標準均為 T 分數大於或等於 40,則數學及格的原始成績比 英文及格的原始成績低 (E) 該班原始成績數學對英文的迴歸直線(即最適直線)之斜率與該班 T 分數數學對 英文的迴歸直線之斜率相同
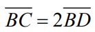
10. 已知四邊形 ABCD 中, 平行 交於 E 。若 = (2, -6), =(1,5)且△ABE面積為 3。試選出正確的選項。(A) (B) △ABD 面積為 9(C) (D) 四邊形 ABCD 面積為(E)
11. 令 Γ為坐標平面上 的圖形。對任一實數 m ≠ 0,以 Lm 表示直線 y=mx+1。 試選出正確的選項。 (A) m> 0 時, Lm 和Γ交點的 x坐標皆為負 (B) 若 (a,b) 為 Lm 和 Γ的交點,則 (-a ,b)為 L-m 和Γ的交點 (C) 可以找到一實數 m ≠ 0使得 Lm 和 Γ交於點 () (D) 若 Lm 與 Γ有一交點在直線 y=-1上,則 是奇數 (E) 若 Lm 與 Γ有一交點在 x軸上,則 Lm 與 Γ有偶數個交點
12. 令 f (x) 、 g(x) 為實係數三次多項式且 f (x) 的首項係數為1,已知f (x)g(x)=2x3+2x 。 令 Γ1和Γ2 分別為 f (x) 和 g(x) 在坐標平面上的函數圖形,其對稱中心分別為 ( a1,b1 ),( a2,b2 ) 。 試選出正確的選項。 (A) Γ1和 Γ2 恰交於三點 (B) a1+a2 可唯一確定 (C) b1+b2可唯一確定 (D) 若a1=a2 ,則b1=b2 (E) 若b1=b2,則a1=a2
18. 試問平行四邊形 ABCD 的面積為何?(單選題,3 分)(A) (B) (C) (D) (E)
13. 某高中聘用的全體教師只有學士學位,有碩士學位。只有學士學位的教師中有通過英聽檢定,有碩士學位的教師中有通過英聽檢定。已知每位教師被抽到的機會相等,若隨機抽選一位通過英聽檢定的教師,則該教師有碩士學位的條件機率為。(化為最簡分數)
14. 坐標平面上,向量 (a,b) 與直線 y=bx-1垂直,則 a+b的最大可能值為 。 (化為最簡分數)
15. 已知三正數 a,b,c , 成一等差數列,其中 a<b<c,且坐標平面上三點 ( a,log3a )、(b ,log 4b ) 、 (c ,log6 ) 在同一直線上,則之值為 。(化為最簡分數)
16. 坐標平面上,已知二次函數圖形Γ: y =f(x) 的頂點 P 在直線 y=1+2x上,且交 x 軸於 點 。將 Γ平移使得平移後圖形的頂點 Q 仍在直線 y=1+2x 上,且亦通過點,此時 P 、 Q 為兩相異點,則。(化為最簡根式)
17. 直角 △ABC 中, ∠CAB 為直角, 邊上一點 D ,滿足∠ BCD=2∠ACD ,且 。 若,則 k =。(化為最簡分數)
19. 設 B 點坐標為 (1,2,0) ,試求平面 ABCD 的平面方程式。(非選擇題,4 分)
20. 試求平行六面體的體積,並求平行六面體上(含邊界)距點 A的最長距離。(非選擇題,8 分)