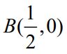
16. 坐標平面上,已知二次函數圖形Γ: y =f(x) 的頂點 P 在直線 y=1+2x上,且交 x 軸於 點
。將 Γ平移使得平移後圖形的頂點 Q 仍在直線 y=1+2x 上,且亦通過點
,此時 P 、 Q 為兩相異點,則
。(化為最簡根式)
16. 坐標平面上,已知二次函數圖形Γ: y =f(x) 的頂點 P 在直線 y=1+2x上,且交 x 軸於 點
。將 Γ平移使得平移後圖形的頂點 Q 仍在直線 y=1+2x 上,且亦通過點
,此時 P 、 Q 為兩相異點,則
。(化為最簡根式)