複選題
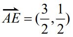
10. 已知四邊形 ABCD 中,
平行
交於 E 。若
= (2, -6),
=(1,5)且△ABE
面積為 3。試選出正確的選項。
(A) 
(B) △ABD 面積為 9
(C) 
(D) 四邊形 ABCD 面積為
(E) 
答案:登入後查看
統計: A(3), B(6), C(6), D(4), E(2) #3807346
統計: A(3), B(6), C(6), D(4), E(2) #3807346