阿摩線上測驗
登入
首頁
>
作業研究
> 105年 - 105 高等考試_三級_工業工程:作業研究#54220
105年 - 105 高等考試_三級_工業工程:作業研究#54220
科目:
作業研究 |
年份:
105年 |
選擇題數:
0 |
申論題數:
4
試卷資訊
所屬科目:
作業研究
選擇題 (0)
申論題 (4)
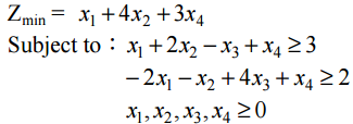
【已刪除】一、請以對偶單行法(Dual Simplex method)求解下述之線性規劃問題:(請詳列計算步 驟,使用其他方法不計分)(25 分)
【已刪除】二、鮮洋物流公司擬將一批生鮮海產由其三個冷藏倉儲站運送至全省四個大賣場,三個 倉儲站之供應量為(300, 700, 500)公斤,四個大賣場之需求量為(400, 300, 400, 400) 公斤,三個倉儲站至四個大賣場之運送時間(單位為小時)如下表所示:
為維持產品之最佳鮮度,任兩點間之運送時間以愈短愈好,故必須最小化由倉儲站至 大賣場其運送時間之最大值,即如 tij 為倉儲站 i 至大賣場 j 之運送時間,則應最小化 T = Max{t
ij
}, for all(i, j),請以最小成本法(the least cost rule)求出起始解,並以運輸單 行法(Transportation Simplex)求出最佳配運計畫,請詳列求解過程與最佳解。(25 分)
【已刪除】三、請將下列非線性規劃數學模式改寫為整數線性規劃數學模式,清楚定義決策變數、 目標式與相關限制式。(不須求解)(25 分)
【已刪除】四、一生產系統其生產狀態(States)可區分為四種:(1,2,3,4),其中狀態(1,2,3) 可歸類為正常(Up, in control),生產之成品為良品,狀態(4)可歸類為不正常或故 障(Down, out of control),生產之成品為不良品,其馬可夫鏈機率轉移矩陣如下:
請估計系統故障速率(即每單位時間或每期之故障次數),生產良品(系統正常)之 期望時間長度,與生產不良品(系統不正常)之期望時間長度。(25 分)
相關試卷
114年 - 114 地方政府公務特種考試_三等_工業工程:作業研究#134713
114年 · #134713
114年 - 114 專技高考_工業工程技師:作業研究#133680
114年 · #133680
114年 - 114 高等考試_三級_工業工程:作業研究#128750
114年 · #128750
113年 - 113 地方政府公務特種考試_三等_工業工程:作業研究#124521
113年 · #124521
113年 - 113 專技高考_工業工程技師:作業研究#123885
113年 · #123885
113年 - 113 高等考試_三級_工業工程:作業研究#121489
113年 · #121489
112年 - 112 地方政府特種考試_三等_工業工程:作業研究#118325
112年 · #118325
112年 - 112 專技高考_工業工程技師:作業研究#117594
112年 · #117594
112年 - 112 公務升官等考試_薦任_工業工程:作業研究#117328
112年 · #117328
112年 - 112 高等考試_三級_工業工程:作業研究#115450
112年 · #115450