所屬科目:研究所、轉學考(插大)-微積分
1. How many critical points does the function f(x) =|x2 - 1|have? Answer :________
2.If = 1, then a-b=? Answer :_________
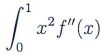
3. Suppose f" is continuous on [0,1], f(1) = 2, f'(1) = 2 and the average value of f on [0, 1] is 2. Evaluate dx. Answer :__________
4. Find g', where g(x) is the inverse of f(x) = . Answer :___________
5. Find the directional derivative of f(z,y) = at P0(1,1) in the direction of v= .Answer :__________
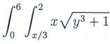
6. Evaluate dydx. Answer:_______
7. Let Rbe the solid inside x2 + y2+ z2 = 1, outside z = and above the xy-plane. Find the volume of R. Answer :___________
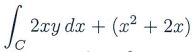
8. Evaluate the line integral dy, where C : boundary of the region lying between the graphs of the ellipse = 1 and the circle x2 + y2 = 1. Answer:_______
1Find any extrema of the function subject to the constraint x2 + y2≤ 1.
2. For the function show that fx(0,0) and fy(0,0) both exist, but that f is not differentiable at (0, 0).
3. Determine whether the seriesconverges absolutely or conditionally, or di-verges.