所屬科目:工程數學(應用數學, 線性代數、微分方程、複變函數與機率)
1 若 A為一個6×6反對稱矩陣,下列何者錯誤? (A) (B)(C)(D)
2 求與下列何者相等? (A)(u ⋅u)(v × v) (B)(u × v)(u ⋅ v) (C)(u ⋅u)(v ⋅ v) (D)(u ×u)⋅(v × v)
3 試決定 a 值,可能造成下列的聯立方程式會有無限多組解:(A) a = −1 (B) a = −1.5 (C) a = −2 (D) a = −2.5
4 令矩陣 ,其反矩陣(inverse matrix) A −1可表示為,則下列敘述何者正確? (A)(B) (C) (D)
5 已知,求 f {A} 為何? (A)(B)(C)(D)
6給定一3×3矩陣 ,則下列何者錯誤? (A)矩陣 A 的特徵值(eigenvalues)為 1,2,2 (B) 為矩陣 A 的一個特徵向量(eigenvector) (C)為矩陣 A 的一個特徵向量(eigenvector) (D) 為矩陣 A 的一個特徵向量(eigenvector)
7 假設複數 z = x + iy ,則下列那一個複變數函數是屬於全域可分析的(analytic for all z)? (A) xy + iy (B) (C) (D)
8 求 之值,其中 C 為 z = 3之逆時針之圓周: (A)π (B)0 (C) − π (D) −1
9 已知複變數函數的奇異點(singular point)是為一個極點(pole),試決定此極點的階數(order) M 及對應的留數(residue)B 分別為何? (A) M = 3, B =(B) M = 2, B = (C) M = 2, B = 2e 2 (D) M =1, B = e2
10 求下列微分方程式的特解: (A) (B) (C) (D)
11 求微分方程之解為: (A) 2x − y − ln| y|= −1 (B)(C)(D)
12 已知 y(t)的拉普拉斯轉換(Laplace transform)方程式為。下列何者錯誤? (A)(B) (C) (D),其中u(t) 為單位步階函數(unit step function)
13 下列何者為之解?(其中 C 為常數)。 (A) (B) (C) (D)
14 給定一偏微分方程式 ,且方程式滿足 z(x,0) = x2 , z(1, y) = cos y ,試問 z(0,∏) =? (A) (B) (C) (D)
15 有一微分方程 , r1 及 r2 分別為其級數解 的收斂 半徑,其中c n 為常數,則 r 1 + r2 = ? (A)6 (B)7 (C)8 (D)9
16 求t cos(at) 之拉普拉斯轉換(Laplace transform): (A) (B) (C) (D)
17 試問下列何者不滿足二維拉普拉斯方程式? (A) (B) (C) (D)
19 設隨機變數(random variable)X 和 Y 的聯合機率密度函數(joint probability density function)為 。則 a 之值為何? (A)1/104 (B)1/36 (C)1/24 (D)1/6
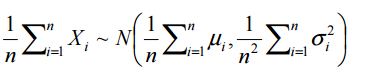
20 令 Xi , i = 1,2,..., n ,為獨立高斯隨機變數(Gaussian random variables),其 ,亦 即 ,下列何者錯誤? (A) (B) (C) (D)
二、試求之值。(15 分)
三、求解偏微分方程式,其中 。(10 分)