題組內容
四、連續隨機變數 X 與 Y 之聯合機率密度函數(joint probability density function)為 ,試求:
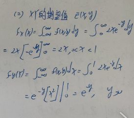
⑵XY 的期望值 E[XY]。(8 分)
詳解 (共 1 筆)
詳解

四、連續隨機變數 X 與 Y 之聯合機率密度函數(joint probability density function)為 ,試求:
