所屬科目:機械設計
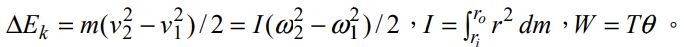
一、如下圖所示,一組 ASTM A-48 鑄鐵飛輪外徑及內徑為 do 與 di,軸向長度 l。已知 do=400 mm,di=0.75 do,l=0.25 do,以及鑄鐵材質密度ρ=7200 kg/m3,試計算將飛輪從 1200 rpm 降到 1100 rpm 所需的煞車能量。假設摩擦損失及轂與輻條的慣性皆可忽略。(20 分)
(參考公式: )
⑴ A 點及 C 點的反力,並繪製與求解相關之自由體圖。(10 分)
⑵通過 G 點之垂直截面(截面為 b×h 之矩形)上的軸向應力及剪應力。(10 分)
⑴滾珠軸承的中值壽命為多少小時?(15 分)
⑵又當預期壽命變為 2 倍時,滾珠軸承的負載量改變應為多少百分比?(5 分)
四、如圖(a)~圖(e)所示為常被使用在一般氣壓迴路圖中的符號,請說明每一符號代表之元件名稱及其功能。(20 分)
⑴試求 w 和 a, b, c 及 d 的關係式。(10 分)
⑵請說明何謂基本尺寸(basic dimension)、實際尺寸(actual dimension)、上限(upper limit)、下限(lower limit)及公差(tolerance)。(10 分)