題組內容
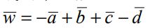
五、下圖所示為一些元件裝配組合成的最終產品,假設元件 1, 2, 3 及 4 有圖示之尺寸, 其開口處的最終尺寸之平均值
。
⑵請說明何謂基本尺寸(basic dimension)、實際尺寸(actual dimension)、上限(upper limit)、下限(lower limit)及公差(tolerance)。(10 分)
五、下圖所示為一些元件裝配組合成的最終產品,假設元件 1, 2, 3 及 4 有圖示之尺寸, 其開口處的最終尺寸之平均值
。
⑵請說明何謂基本尺寸(basic dimension)、實際尺寸(actual dimension)、上限(upper limit)、下限(lower limit)及公差(tolerance)。(10 分)