所屬科目:工程統計學與品質管制概要
⑴品管圖上每次檢驗就將相關之統計量填入品管圖之 y 軸上。檢驗出第 1 個落在品 管圖上下限外之值所需之總檢驗次數。
⑵一個晶片之厚度。
⑶10 個晶片中不良的晶片數(每個晶片只分兩種:良片與不良片)。
⑷晶片檢驗線上,檢驗出第 2 個不良品所需總檢驗次數。
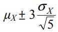
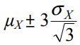
二、令 X 表示某產品的品質指標,如晶片中心點厚度等。令 n 為每次檢查的樣品數。現在欲建立一個監控「平均數 μX, 」的管制圖,依傳統 ARL0與 ARL1為評判標準,下列那一個建議比較好?說明理由。(20 分)
‧小王建議(a)採用統計量 (n = 3),(b)管制圖上下限:。
‧小李建議(a)採用統計量 (n = 5),(b)管制圖上下限:。
⑴傳統將此兩張品管圖命名為何?(提示:可能的選擇為(a)p-chart, (b)np-chart, (c)c-chart, (d)u-chart)(10 分)
⑵說明 y 軸的統計量在 2 張圖中用何種機率分配模型來描述較適當?說明理由。 (20 分)
⑴當製程平均值在規格中心時,Cp與 Cpk的關係為何?
⑵當製程平均值不在規格中心時,Cp與 Cpk的關係為何?
⑴完成變異數分析表(填入(a)–(e)值)。
⑵建立統計檢定(i.e.,也就是虛無 H0與對立假設 H1),並做出結論。